با مدل CelebA Progressive GAN چهره های مصنوعی ایجاد کنید

مشاهده در TensorFlow.org در Google Colab اجرا شود در GitHub مشاهده کنید دانلود دفترچه یادداشت مدل TF Hub را ببینید

این Colab استفاده از یک ماژول TF Hub بر اساس یک شبکه متخاصم مولد (GAN) را نشان می دهد. این ماژول از بردارهای N بعدی، که فضای پنهان نامیده می شود، به تصاویر RGB نگاشت می شود.

دو مثال ارائه شده است:

  • نقشه برداری از فضا نهفته به تصاویر، و
  • با توجه به یک تصویر مورد نظر، با استفاده از گرادیان نزولی برای پیدا کردن یک بردار نهفته است که به تولید یک تصویر مشابه تصویر هدف.

پیش نیازهای اختیاری

مدل های بیشتر

در اینجا شما می توانید تمام مدل های حال حاضر در میزبانی پیدا tfhub.dev که می تواند تصاویر را تولید کند.

برپایی

# Install imageio for creating animations.
pip -q install imageio
pip -q install scikit-image
pip install git+https://github.com/tensorflow/docs

واردات و تعاریف عملکرد

from absl import logging

import imageio
import PIL.Image
import matplotlib.pyplot as plt
import numpy as np

import tensorflow as tf
tf.random.set_seed(0)

import tensorflow_hub as hub
from tensorflow_docs.vis import embed
import time

try:
  from google.colab import files
except ImportError:
  pass

from IPython import display
from skimage import transform

# We could retrieve this value from module.get_input_shapes() if we didn't know
# beforehand which module we will be using.
latent_dim = 512


# Interpolates between two vectors that are non-zero and don't both lie on a
# line going through origin. First normalizes v2 to have the same norm as v1. 
# Then interpolates between the two vectors on the hypersphere.
def interpolate_hypersphere(v1, v2, num_steps):
  v1_norm = tf.norm(v1)
  v2_norm = tf.norm(v2)
  v2_normalized = v2 * (v1_norm / v2_norm)

  vectors = []
  for step in range(num_steps):
    interpolated = v1 + (v2_normalized - v1) * step / (num_steps - 1)
    interpolated_norm = tf.norm(interpolated)
    interpolated_normalized = interpolated * (v1_norm / interpolated_norm)
    vectors.append(interpolated_normalized)
  return tf.stack(vectors)

# Simple way to display an image.
def display_image(image):
  image = tf.constant(image)
  image = tf.image.convert_image_dtype(image, tf.uint8)
  return PIL.Image.fromarray(image.numpy())

# Given a set of images, show an animation.
def animate(images):
  images = np.array(images)
  converted_images = np.clip(images * 255, 0, 255).astype(np.uint8)
  imageio.mimsave('./animation.gif', converted_images)
  return embed.embed_file('./animation.gif')

logging.set_verbosity(logging.ERROR)

درون یابی فضای پنهان

بردارهای تصادفی

درونیابی فضای پنهان بین دو بردار به طور تصادفی اولیه. ما یک TF توپی ماژول استفاده خواهد کرد progan-128 است که شامل یک پیشرو GAN-پیش آموزش داده است.

progan = hub.load("https://tfhub.dev/google/progan-128/1").signatures['default']
def interpolate_between_vectors():
  v1 = tf.random.normal([latent_dim])
  v2 = tf.random.normal([latent_dim])

  # Creates a tensor with 25 steps of interpolation between v1 and v2.
  vectors = interpolate_hypersphere(v1, v2, 50)

  # Uses module to generate images from the latent space.
  interpolated_images = progan(vectors)['default']

  return interpolated_images

interpolated_images = interpolate_between_vectors()
animate(interpolated_images)

gif

یافتن نزدیکترین بردار در فضای نهفته

تصحیح یک تصویر هدف به عنوان مثال از یک تصویر تولید شده از ماژول استفاده کنید یا تصویر خود را آپلود کنید.

image_from_module_space = True  # @param { isTemplate:true, type:"boolean" }

def get_module_space_image():
  vector = tf.random.normal([1, latent_dim])
  images = progan(vector)['default'][0]
  return images

def upload_image():
  uploaded = files.upload()
  image = imageio.imread(uploaded[list(uploaded.keys())[0]])
  return transform.resize(image, [128, 128])

if image_from_module_space:
  target_image = get_module_space_image()
else:
  target_image = upload_image()

display_image(target_image)

png

پس از تعریف یک تابع از دست دادن بین تصویر هدف و تصویر تولید شده توسط یک متغیر فضای پنهان، می‌توانیم از گرادیان نزول برای یافتن مقادیر متغیری استفاده کنیم که تلفات را به حداقل می‌رساند.

tf.random.set_seed(42)
initial_vector = tf.random.normal([1, latent_dim])
display_image(progan(initial_vector)['default'][0])

png

def find_closest_latent_vector(initial_vector, num_optimization_steps,
                               steps_per_image):
  images = []
  losses = []

  vector = tf.Variable(initial_vector)  
  optimizer = tf.optimizers.Adam(learning_rate=0.01)
  loss_fn = tf.losses.MeanAbsoluteError(reduction="sum")

  for step in range(num_optimization_steps):
    if (step % 100)==0:
      print()
    print('.', end='')
    with tf.GradientTape() as tape:
      image = progan(vector.read_value())['default'][0]
      if (step % steps_per_image) == 0:
        images.append(image.numpy())
      target_image_difference = loss_fn(image, target_image[:,:,:3])
      # The latent vectors were sampled from a normal distribution. We can get
      # more realistic images if we regularize the length of the latent vector to 
      # the average length of vector from this distribution.
      regularizer = tf.abs(tf.norm(vector) - np.sqrt(latent_dim))

      loss = target_image_difference + regularizer
      losses.append(loss.numpy())
    grads = tape.gradient(loss, [vector])
    optimizer.apply_gradients(zip(grads, [vector]))

  return images, losses


num_optimization_steps=200
steps_per_image=5
images, loss = find_closest_latent_vector(initial_vector, num_optimization_steps, steps_per_image)
....................................................................................................
....................................................................................................
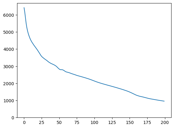
plt.plot(loss)
plt.ylim([0,max(plt.ylim())])
(0.0, 6696.301751708985)

png

animate(np.stack(images))

gif

نتیجه را با هدف مقایسه کنید:

display_image(np.concatenate([images[-1], target_image], axis=1))

png

بازی با مثال بالا

اگر تصویر از فضای ماژول باشد، فرود سریع است و به یک نمونه معقول همگرا می شود. سعی کنید از نزولی به یک تصویر است که از فضا ماژول نیست. فرود تنها در صورتی همگرا می شود که تصویر به طور منطقی به فضای تصاویر آموزشی نزدیک باشد.

چگونه می توان آن را سریعتر و به تصویر واقعی تری فرود آورد؟ می توان امتحان کرد:

  • استفاده از تلفات مختلف در تفاوت تصویر، به عنوان مثال درجه دوم،
  • با استفاده از تنظیم کننده های مختلف بر روی بردار نهفته،
  • مقداردهی اولیه از یک بردار تصادفی در اجراهای متعدد،
  • و غیره.