Gerar faces artificiais com o modelo GAN progressivo CelebA

Ver no TensorFlow.org Executar no Google Colab Ver no GitHub Baixar caderno Veja o modelo TF Hub

Este Colab demonstra o uso de um módulo TF Hub baseado em uma rede adversarial generativa (GAN). O módulo mapeia de vetores N-dimensionais, chamados de espaço latente, para imagens RGB.

Dois exemplos são fornecidos:

  • Mapeamento do espaço latente para imagens e
  • Dada uma imagem alvo, utilizando gradiente descendente para encontrar um vector latente que gera uma imagem semelhante para a imagem pretendida.

Pré-requisitos opcionais

Mais modelos

Aqui você pode encontrar todos os modelos atualmente hospedados em tfhub.dev que pode gerar imagens.

Configurar

# Install imageio for creating animations.
pip -q install imageio
pip -q install scikit-image
pip install git+https://github.com/tensorflow/docs

Importações e definições de funções

from absl import logging

import imageio
import PIL.Image
import matplotlib.pyplot as plt
import numpy as np

import tensorflow as tf
tf.random.set_seed(0)

import tensorflow_hub as hub
from tensorflow_docs.vis import embed
import time

try:
  from google.colab import files
except ImportError:
  pass

from IPython import display
from skimage import transform

# We could retrieve this value from module.get_input_shapes() if we didn't know
# beforehand which module we will be using.
latent_dim = 512


# Interpolates between two vectors that are non-zero and don't both lie on a
# line going through origin. First normalizes v2 to have the same norm as v1. 
# Then interpolates between the two vectors on the hypersphere.
def interpolate_hypersphere(v1, v2, num_steps):
  v1_norm = tf.norm(v1)
  v2_norm = tf.norm(v2)
  v2_normalized = v2 * (v1_norm / v2_norm)

  vectors = []
  for step in range(num_steps):
    interpolated = v1 + (v2_normalized - v1) * step / (num_steps - 1)
    interpolated_norm = tf.norm(interpolated)
    interpolated_normalized = interpolated * (v1_norm / interpolated_norm)
    vectors.append(interpolated_normalized)
  return tf.stack(vectors)

# Simple way to display an image.
def display_image(image):
  image = tf.constant(image)
  image = tf.image.convert_image_dtype(image, tf.uint8)
  return PIL.Image.fromarray(image.numpy())

# Given a set of images, show an animation.
def animate(images):
  images = np.array(images)
  converted_images = np.clip(images * 255, 0, 255).astype(np.uint8)
  imageio.mimsave('./animation.gif', converted_images)
  return embed.embed_file('./animation.gif')

logging.set_verbosity(logging.ERROR)

Interpolação do espaço latente

Vetores aleatórios

Interpolação de espaço latente entre dois vetores inicializados aleatoriamente. Usaremos um módulo TF Hub Progan-128 que contém um pré-treinados Progressive GAN.

progan = hub.load("https://tfhub.dev/google/progan-128/1").signatures['default']
def interpolate_between_vectors():
  v1 = tf.random.normal([latent_dim])
  v2 = tf.random.normal([latent_dim])

  # Creates a tensor with 25 steps of interpolation between v1 and v2.
  vectors = interpolate_hypersphere(v1, v2, 50)

  # Uses module to generate images from the latent space.
  interpolated_images = progan(vectors)['default']

  return interpolated_images

interpolated_images = interpolate_between_vectors()
animate(interpolated_images)

gif

Encontrando o vetor mais próximo no espaço latente

Corrija uma imagem de destino. Como exemplo, use uma imagem gerada a partir do módulo ou carregue a sua própria.

image_from_module_space = True  # @param { isTemplate:true, type:"boolean" }

def get_module_space_image():
  vector = tf.random.normal([1, latent_dim])
  images = progan(vector)['default'][0]
  return images

def upload_image():
  uploaded = files.upload()
  image = imageio.imread(uploaded[list(uploaded.keys())[0]])
  return transform.resize(image, [128, 128])

if image_from_module_space:
  target_image = get_module_space_image()
else:
  target_image = upload_image()

display_image(target_image)

png

Depois de definir uma função de perda entre a imagem alvo e a imagem gerada por uma variável de espaço latente, podemos usar a descida de gradiente para encontrar os valores das variáveis ​​que minimizam a perda.

tf.random.set_seed(42)
initial_vector = tf.random.normal([1, latent_dim])
display_image(progan(initial_vector)['default'][0])

png

def find_closest_latent_vector(initial_vector, num_optimization_steps,
                               steps_per_image):
  images = []
  losses = []

  vector = tf.Variable(initial_vector)  
  optimizer = tf.optimizers.Adam(learning_rate=0.01)
  loss_fn = tf.losses.MeanAbsoluteError(reduction="sum")

  for step in range(num_optimization_steps):
    if (step % 100)==0:
      print()
    print('.', end='')
    with tf.GradientTape() as tape:
      image = progan(vector.read_value())['default'][0]
      if (step % steps_per_image) == 0:
        images.append(image.numpy())
      target_image_difference = loss_fn(image, target_image[:,:,:3])
      # The latent vectors were sampled from a normal distribution. We can get
      # more realistic images if we regularize the length of the latent vector to 
      # the average length of vector from this distribution.
      regularizer = tf.abs(tf.norm(vector) - np.sqrt(latent_dim))

      loss = target_image_difference + regularizer
      losses.append(loss.numpy())
    grads = tape.gradient(loss, [vector])
    optimizer.apply_gradients(zip(grads, [vector]))

  return images, losses


num_optimization_steps=200
steps_per_image=5
images, loss = find_closest_latent_vector(initial_vector, num_optimization_steps, steps_per_image)
....................................................................................................
....................................................................................................
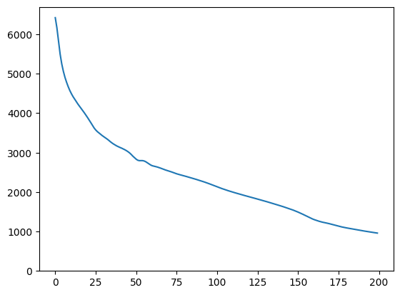
plt.plot(loss)
plt.ylim([0,max(plt.ylim())])
(0.0, 6696.301751708985)

png

animate(np.stack(images))

gif

Compare o resultado com o alvo:

display_image(np.concatenate([images[-1], target_image], axis=1))

png

Jogando com o exemplo acima

Se a imagem for do espaço do módulo, a descida é rápida e converge para uma amostra razoável. Experimente descendo para uma imagem que não é do espaço módulo. A descida só convergirá se a imagem estiver razoavelmente próxima do espaço das imagens de treinamento.

Como fazer descer mais rápido e com uma imagem mais realista? Pode-se tentar:

  • usando perda diferente na diferença de imagem, por exemplo, quadrática,
  • usando regularizador diferente no vetor latente,
  • inicializando a partir de um vetor aleatório em várias execuções,
  • etc.