Lihat di TensorFlow.org | Jalankan di Google Colab | Lihat di GitHub | Unduh buku catatan | Lihat model TF Hub |
Colab ini menunjukkan penggunaan modul TF Hub berdasarkan generative adversarial network (GAN). Modul memetakan dari vektor N-dimensi, yang disebut ruang laten, ke gambar RGB.
Dua contoh disediakan:
- Pemetaan dari ruang laten gambar, dan
- Mengingat gambar target, menggunakan gradient descent untuk menemukan vektor laten yang menghasilkan gambar yang mirip dengan gambar target.
Prasyarat opsional
- Keakraban dengan konsep Tensorflow tingkat rendah .
- Generatif Adversarial Jaringan di Wikipedia.
- Makalah tentang Progressive Gans: Progresif Tumbuh dari Gans untuk Peningkatan Kualitas, Stabilitas, dan Variasi .
Lebih banyak model
Di sini Anda dapat menemukan semua model saat ini host di tfhub.dev yang dapat menghasilkan gambar.
Mempersiapkan
# Install imageio for creating animations.pip -q install imageiopip -q install scikit-imagepip install git+https://github.com/tensorflow/docs
Impor dan definisi fungsi
from absl import logging
import imageio
import PIL.Image
import matplotlib.pyplot as plt
import numpy as np
import tensorflow as tf
tf.random.set_seed(0)
import tensorflow_hub as hub
from tensorflow_docs.vis import embed
import time
try:
from google.colab import files
except ImportError:
pass
from IPython import display
from skimage import transform
# We could retrieve this value from module.get_input_shapes() if we didn't know
# beforehand which module we will be using.
latent_dim = 512
# Interpolates between two vectors that are non-zero and don't both lie on a
# line going through origin. First normalizes v2 to have the same norm as v1.
# Then interpolates between the two vectors on the hypersphere.
def interpolate_hypersphere(v1, v2, num_steps):
v1_norm = tf.norm(v1)
v2_norm = tf.norm(v2)
v2_normalized = v2 * (v1_norm / v2_norm)
vectors = []
for step in range(num_steps):
interpolated = v1 + (v2_normalized - v1) * step / (num_steps - 1)
interpolated_norm = tf.norm(interpolated)
interpolated_normalized = interpolated * (v1_norm / interpolated_norm)
vectors.append(interpolated_normalized)
return tf.stack(vectors)
# Simple way to display an image.
def display_image(image):
image = tf.constant(image)
image = tf.image.convert_image_dtype(image, tf.uint8)
return PIL.Image.fromarray(image.numpy())
# Given a set of images, show an animation.
def animate(images):
images = np.array(images)
converted_images = np.clip(images * 255, 0, 255).astype(np.uint8)
imageio.mimsave('./animation.gif', converted_images)
return embed.embed_file('./animation.gif')
logging.set_verbosity(logging.ERROR)
Interpolasi ruang laten
Vektor acak
Interpolasi ruang laten antara dua vektor yang diinisialisasi secara acak. Kami akan menggunakan TF Hub modul progan-128 yang berisi pra-dilatih Progressive GAN.
progan = hub.load("https://tfhub.dev/google/progan-128/1").signatures['default']
def interpolate_between_vectors():
v1 = tf.random.normal([latent_dim])
v2 = tf.random.normal([latent_dim])
# Creates a tensor with 25 steps of interpolation between v1 and v2.
vectors = interpolate_hypersphere(v1, v2, 50)
# Uses module to generate images from the latent space.
interpolated_images = progan(vectors)['default']
return interpolated_images
interpolated_images = interpolate_between_vectors()
animate(interpolated_images)

Menemukan vektor terdekat di ruang laten
Perbaiki gambar target. Sebagai contoh gunakan gambar yang dihasilkan dari modul atau unggah sendiri.
image_from_module_space = True # @param { isTemplate:true, type:"boolean" }
def get_module_space_image():
vector = tf.random.normal([1, latent_dim])
images = progan(vector)['default'][0]
return images
def upload_image():
uploaded = files.upload()
image = imageio.imread(uploaded[list(uploaded.keys())[0]])
return transform.resize(image, [128, 128])
if image_from_module_space:
target_image = get_module_space_image()
else:
target_image = upload_image()
display_image(target_image)

Setelah mendefinisikan fungsi kerugian antara gambar target dan gambar yang dihasilkan oleh variabel ruang laten, kita dapat menggunakan penurunan gradien untuk menemukan nilai variabel yang meminimalkan kerugian.
tf.random.set_seed(42)
initial_vector = tf.random.normal([1, latent_dim])
display_image(progan(initial_vector)['default'][0])

def find_closest_latent_vector(initial_vector, num_optimization_steps,
steps_per_image):
images = []
losses = []
vector = tf.Variable(initial_vector)
optimizer = tf.optimizers.Adam(learning_rate=0.01)
loss_fn = tf.losses.MeanAbsoluteError(reduction="sum")
for step in range(num_optimization_steps):
if (step % 100)==0:
print()
print('.', end='')
with tf.GradientTape() as tape:
image = progan(vector.read_value())['default'][0]
if (step % steps_per_image) == 0:
images.append(image.numpy())
target_image_difference = loss_fn(image, target_image[:,:,:3])
# The latent vectors were sampled from a normal distribution. We can get
# more realistic images if we regularize the length of the latent vector to
# the average length of vector from this distribution.
regularizer = tf.abs(tf.norm(vector) - np.sqrt(latent_dim))
loss = target_image_difference + regularizer
losses.append(loss.numpy())
grads = tape.gradient(loss, [vector])
optimizer.apply_gradients(zip(grads, [vector]))
return images, losses
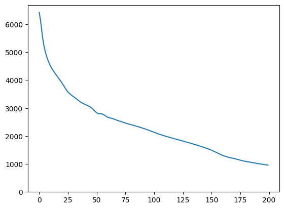
num_optimization_steps=200
steps_per_image=5
images, loss = find_closest_latent_vector(initial_vector, num_optimization_steps, steps_per_image)
.................................................................................................... ....................................................................................................
plt.plot(loss)
plt.ylim([0,max(plt.ylim())])
(0.0, 6696.301751708985)

animate(np.stack(images))

Bandingkan hasilnya dengan target:
display_image(np.concatenate([images[-1], target_image], axis=1))

Bermain dengan contoh di atas
Jika gambar berasal dari ruang modul, penurunannya cepat dan konvergen ke sampel yang masuk akal. Mencoba turun ke gambar yang tidak dari ruang modul. Penurunan hanya akan menyatu jika gambar cukup dekat dengan ruang gambar pelatihan.
Bagaimana membuatnya turun lebih cepat dan ke gambar yang lebih realistis? Seseorang dapat mencoba:
- menggunakan kerugian yang berbeda pada perbedaan gambar, misalnya kuadrat,
- menggunakan regularizer yang berbeda pada vektor laten,
- menginisialisasi dari vektor acak dalam beberapa proses,
- dll.
Lihat di TensorFlow.org
Jalankan di Google Colab
Lihat di GitHub
Unduh buku catatan
Lihat model TF Hub