הצג באתר TensorFlow.org | הפעל בגוגל קולאב | הצג ב-GitHub | הורד מחברת | ראה דגם TF Hub |
Colab זה מדגים שימוש במודול TF Hub המבוסס על רשת יריבתית (GAN). המודול ממפה מוקטורים N-ממדיים, הנקראים מרחב סמוי, לתמונות RGB.
שתי דוגמאות מובאות:
- מיפוי מחלל סמוי לתמונות, ו
- בהינתן תמונת יעד, באמצעות ממוצא שיפוע למצוא וקטור סמוי שיוצר תמונה דומה תמונת היעד.
תנאים מוקדמים אופציונליים
- היכרות עם מושגי Tensorflow ברמה נמוכה .
- Generative תשובה: הרשת על ויקיפדיה.
- נייר על Progressive גנס: Progressive גידול של גנז לאיכות משופרת, יציבות, ושונות .
עוד דגמים
כאן תוכלו למצוא את כל הדגמים מתארח כעת tfhub.dev כי ניתן להפיק תמונות.
להכין
# Install imageio for creating animations.pip -q install imageiopip -q install scikit-imagepip install git+https://github.com/tensorflow/docs
יבוא והגדרות פונקציות
from absl import logging
import imageio
import PIL.Image
import matplotlib.pyplot as plt
import numpy as np
import tensorflow as tf
tf.random.set_seed(0)
import tensorflow_hub as hub
from tensorflow_docs.vis import embed
import time
try:
from google.colab import files
except ImportError:
pass
from IPython import display
from skimage import transform
# We could retrieve this value from module.get_input_shapes() if we didn't know
# beforehand which module we will be using.
latent_dim = 512
# Interpolates between two vectors that are non-zero and don't both lie on a
# line going through origin. First normalizes v2 to have the same norm as v1.
# Then interpolates between the two vectors on the hypersphere.
def interpolate_hypersphere(v1, v2, num_steps):
v1_norm = tf.norm(v1)
v2_norm = tf.norm(v2)
v2_normalized = v2 * (v1_norm / v2_norm)
vectors = []
for step in range(num_steps):
interpolated = v1 + (v2_normalized - v1) * step / (num_steps - 1)
interpolated_norm = tf.norm(interpolated)
interpolated_normalized = interpolated * (v1_norm / interpolated_norm)
vectors.append(interpolated_normalized)
return tf.stack(vectors)
# Simple way to display an image.
def display_image(image):
image = tf.constant(image)
image = tf.image.convert_image_dtype(image, tf.uint8)
return PIL.Image.fromarray(image.numpy())
# Given a set of images, show an animation.
def animate(images):
images = np.array(images)
converted_images = np.clip(images * 255, 0, 255).astype(np.uint8)
imageio.mimsave('./animation.gif', converted_images)
return embed.embed_file('./animation.gif')
logging.set_verbosity(logging.ERROR)
אינטרפולציה של חלל סמוי
וקטורים אקראיים
אינטרפולציה של מרחב סמוי בין שני וקטורים מאותחלים באופן אקראי. נשתמש מודול Hub TF progan-128 המכילות גן מתקדם מאומן מראש.
progan = hub.load("https://tfhub.dev/google/progan-128/1").signatures['default']
def interpolate_between_vectors():
v1 = tf.random.normal([latent_dim])
v2 = tf.random.normal([latent_dim])
# Creates a tensor with 25 steps of interpolation between v1 and v2.
vectors = interpolate_hypersphere(v1, v2, 50)
# Uses module to generate images from the latent space.
interpolated_images = progan(vectors)['default']
return interpolated_images
interpolated_images = interpolate_between_vectors()
animate(interpolated_images)

מציאת הווקטור הקרוב ביותר במרחב הסמוי
תקן תמונת יעד. כדוגמה השתמש בתמונה שנוצרה מהמודול או העלה תמונה משלך.
image_from_module_space = True # @param { isTemplate:true, type:"boolean" }
def get_module_space_image():
vector = tf.random.normal([1, latent_dim])
images = progan(vector)['default'][0]
return images
def upload_image():
uploaded = files.upload()
image = imageio.imread(uploaded[list(uploaded.keys())[0]])
return transform.resize(image, [128, 128])
if image_from_module_space:
target_image = get_module_space_image()
else:
target_image = upload_image()
display_image(target_image)

לאחר הגדרת פונקציית אובדן בין תמונת המטרה לתמונה שנוצרת על ידי משתנה מרחב סמוי, נוכל להשתמש בירידה בשיפוע כדי למצוא ערכי משתנים הממזערים את האובדן.
tf.random.set_seed(42)
initial_vector = tf.random.normal([1, latent_dim])
display_image(progan(initial_vector)['default'][0])

def find_closest_latent_vector(initial_vector, num_optimization_steps,
steps_per_image):
images = []
losses = []
vector = tf.Variable(initial_vector)
optimizer = tf.optimizers.Adam(learning_rate=0.01)
loss_fn = tf.losses.MeanAbsoluteError(reduction="sum")
for step in range(num_optimization_steps):
if (step % 100)==0:
print()
print('.', end='')
with tf.GradientTape() as tape:
image = progan(vector.read_value())['default'][0]
if (step % steps_per_image) == 0:
images.append(image.numpy())
target_image_difference = loss_fn(image, target_image[:,:,:3])
# The latent vectors were sampled from a normal distribution. We can get
# more realistic images if we regularize the length of the latent vector to
# the average length of vector from this distribution.
regularizer = tf.abs(tf.norm(vector) - np.sqrt(latent_dim))
loss = target_image_difference + regularizer
losses.append(loss.numpy())
grads = tape.gradient(loss, [vector])
optimizer.apply_gradients(zip(grads, [vector]))
return images, losses
num_optimization_steps=200
steps_per_image=5
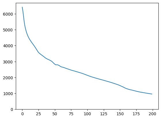
images, loss = find_closest_latent_vector(initial_vector, num_optimization_steps, steps_per_image)
.................................................................................................... ....................................................................................................
plt.plot(loss)
plt.ylim([0,max(plt.ylim())])
(0.0, 6696.301751708985)

animate(np.stack(images))

השווה את התוצאה ליעד:
display_image(np.concatenate([images[-1], target_image], axis=1))

משחק עם הדוגמה שלמעלה
אם התמונה היא ממרחב המודול, הירידה מהירה ומתכנסת לדגימה סבירה. נסו יורד לתמונה כי הוא לא מחלל מודול. הירידה תתכנס רק אם התמונה קרובה במידה סבירה למרחב של תמונות האימון.
איך לגרום לזה לרדת מהר יותר ולתמונה מציאותית יותר? אפשר לנסות:
- שימוש בהפסד שונה בהפרש התמונה, למשל ריבועי,
- באמצעות מסדר שונה על הווקטור הסמוי,
- אתחול מוקטור אקראי בריצות מרובות,
- וכו '
הצג באתר TensorFlow.org
הפעל בגוגל קולאב
הצג ב-GitHub
הורד מחברת
ראה דגם TF Hub