ดูบน TensorFlow.org | ทำงานใน Google Colab | ดูแหล่งที่มาบน GitHub | ดาวน์โหลดโน๊ตบุ๊ค |
และเช่นเคย โค้ดในตัวอย่างนี้จะใช้ tf.keras API ซึ่งคุณสามารถเรียนรู้เพิ่มเติมได้ใน คู่มือ TensorFlow Keras
ในทั้งสองตัวอย่างก่อนหน้านี้— การจัดประเภทข้อความ และ การคาดการณ์ประสิทธิภาพการใช้เชื้อเพลิง —เราเห็นว่าความถูกต้องของแบบจำลองของเราในข้อมูลการตรวจสอบความถูกต้องจะสูงสุดหลังจากการฝึกอบรมเป็นเวลาหลายช่วง และจากนั้นจะซบเซาหรือเริ่มลดลง
กล่าวอีกนัยหนึ่ง โมเดลของเราจะ เหมาะสม กับข้อมูลการฝึกอบรม การเรียนรู้วิธีจัดการกับการสวมใส่มากเกินไปเป็นสิ่งสำคัญ แม้ว่ามักจะเป็นไปได้ที่จะบรรลุความแม่นยำสูงใน ชุดการฝึก แต่สิ่งที่เราต้องการจริงๆ คือการพัฒนาแบบจำลองที่สามารถสรุปผลได้ดีกับ ชุดการทดสอบ (หรือข้อมูลที่ไม่เคยเห็นมาก่อน)
สิ่งที่ตรงกันข้ามกับการสวมชุดรัดรูปคือ ชุดรัดรูป Underfitting เกิดขึ้นเมื่อยังมีช่องว่างสำหรับการปรับปรุงข้อมูลรถไฟ สิ่งนี้สามารถเกิดขึ้นได้จากหลายสาเหตุ: หากโมเดลไม่มีประสิทธิภาพเพียงพอ มีการควบคุมมากเกินไป หรือไม่ได้รับการฝึกนานพอ ซึ่งหมายความว่าเครือข่ายไม่ได้เรียนรู้รูปแบบที่เกี่ยวข้องในข้อมูลการฝึกอบรม
หากคุณฝึกนานเกินไป โมเดลจะเริ่มโอเวอร์ฟิตและเรียนรู้รูปแบบจากข้อมูลการฝึกที่ไม่ได้สรุปถึงข้อมูลการทดสอบ เราต้องสร้างสมดุล การทำความเข้าใจวิธีฝึกสำหรับยุคต่างๆ ที่เหมาะสม เราจะสำรวจด้านล่างเป็นทักษะที่มีประโยชน์
เพื่อป้องกันการใส่มากเกินไป วิธีที่ดีที่สุดคือการใช้ข้อมูลการฝึกที่สมบูรณ์มากขึ้น ชุดข้อมูลควรครอบคลุมอินพุตทั้งหมดที่คาดว่าโมเดลจะจัดการได้ ข้อมูลเพิ่มเติมอาจมีประโยชน์ก็ต่อเมื่อครอบคลุมกรณีใหม่และน่าสนใจเท่านั้น
โมเดลที่ได้รับการฝึกฝนเกี่ยวกับข้อมูลที่ครบถ้วนมากขึ้นจะทำให้เกิดภาพรวมได้ดีกว่าโดยธรรมชาติ เมื่อทำไม่ได้แล้ว ทางออกที่ดีที่สุดต่อไปคือการใช้เทคนิคต่างๆ เช่น การทำให้เป็นมาตรฐาน สิ่งเหล่านี้ทำให้เกิดข้อจำกัดเกี่ยวกับปริมาณและประเภทของข้อมูลที่แบบจำลองของคุณสามารถจัดเก็บได้ หากเครือข่ายสามารถจดจำรูปแบบได้เพียงเล็กน้อย กระบวนการปรับให้เหมาะสมจะบังคับให้เน้นที่รูปแบบที่โดดเด่นที่สุด ซึ่งมีโอกาสสรุปได้ดีกว่า
ในสมุดบันทึกนี้ เราจะสำรวจเทคนิคการทำให้เป็นมาตรฐานทั่วไปหลายอย่าง และใช้เทคนิคเหล่านี้เพื่อปรับปรุงแบบจำลองการจัดประเภท
ติดตั้ง
ก่อนเริ่มต้น ให้นำเข้าแพ็คเกจที่จำเป็น:
import tensorflow as tf
from tensorflow.keras import layers
from tensorflow.keras import regularizers
print(tf.__version__)
2.8.0-rc1
!pip install git+https://github.com/tensorflow/docs
import tensorflow_docs as tfdocs
import tensorflow_docs.modeling
import tensorflow_docs.plots
from IPython import display
from matplotlib import pyplot as plt
import numpy as np
import pathlib
import shutil
import tempfile
logdir = pathlib.Path(tempfile.mkdtemp())/"tensorboard_logs"
shutil.rmtree(logdir, ignore_errors=True)
ชุดข้อมูล Higgs
เป้าหมายของบทช่วยสอนนี้ไม่ใช่การทำฟิสิกส์อนุภาค ดังนั้นอย่าจมอยู่กับรายละเอียดของชุดข้อมูล ประกอบด้วยตัวอย่าง 11,000,000 ตัวอย่าง โดยแต่ละรายการมีคุณสมบัติ 28 รายการ และป้ายกำกับคลาสไบนารี
gz = tf.keras.utils.get_file('HIGGS.csv.gz', 'http://mlphysics.ics.uci.edu/data/higgs/HIGGS.csv.gz')
Downloading data from http://mlphysics.ics.uci.edu/data/higgs/HIGGS.csv.gz 2816409600/2816407858 [==============================] - 123s 0us/step 2816417792/2816407858 [==============================] - 123s 0us/step
FEATURES = 28
คลาส tf.data.experimental.CsvDataset สามารถใช้เพื่ออ่านเร็กคอร์ด csv ได้โดยตรงจากไฟล์ gzip โดยไม่มีขั้นตอนการคลายการบีบอัดขั้นกลาง
ds = tf.data.experimental.CsvDataset(gz,[float(),]*(FEATURES+1), compression_type="GZIP")
คลาสตัวอ่าน csv นั้นส่งคืนรายการสเกลาร์สำหรับแต่ละเร็กคอร์ด ฟังก์ชันต่อไปนี้บรรจุรายการสเกลาร์เป็นคู่ (feature_vector, label)
def pack_row(*row):
label = row[0]
features = tf.stack(row[1:],1)
return features, label
TensorFlow มีประสิทธิภาพสูงสุดเมื่อทำงานกับข้อมูลจำนวนมาก
ดังนั้น แทนที่จะบรรจุใหม่แต่ละแถว ให้สร้างชุดข้อมูลใหม่ที่มีกลุ่มตัวอย่าง 10,000 ตัวอย่าง ให้ใช้ pack_row Dataset แต่ละชุดงาน แล้วแยกชุดข้อมูลสำรองออกเป็นแต่ละระเบียน:
packed_ds = ds.batch(10000).map(pack_row).unbatch()
ดูบันทึกบางส่วนจาก packed_ds ใหม่นี้
คุณลักษณะนี้ไม่ได้ทำให้เป็นมาตรฐานอย่างสมบูรณ์ แต่นี่ก็เพียงพอแล้วสำหรับบทช่วยสอนนี้
for features,label in packed_ds.batch(1000).take(1):
print(features[0])
plt.hist(features.numpy().flatten(), bins = 101)
tf.Tensor( [ 0.8692932 -0.6350818 0.22569026 0.32747006 -0.6899932 0.75420225 -0.24857314 -1.0920639 0. 1.3749921 -0.6536742 0.9303491 1.1074361 1.1389043 -1.5781983 -1.0469854 0. 0.65792954 -0.01045457 -0.04576717 3.1019614 1.35376 0.9795631 0.97807616 0.92000484 0.72165745 0.98875093 0.87667835], shape=(28,), dtype=float32)

เพื่อให้บทช่วยสอนนี้ค่อนข้างสั้น ให้ใช้เพียง 1,000 ตัวอย่างแรกสำหรับการตรวจสอบ และอีก 10,000 ตัวอย่างสำหรับการฝึกอบรม:
N_VALIDATION = int(1e3)
N_TRAIN = int(1e4)
BUFFER_SIZE = int(1e4)
BATCH_SIZE = 500
STEPS_PER_EPOCH = N_TRAIN//BATCH_SIZE
Dataset.skip และ Dataset.take ทำให้สิ่งนี้เป็นเรื่องง่าย
ในเวลาเดียวกัน ใช้เมธอด Dataset.cache เพื่อให้แน่ใจว่าตัวโหลดไม่จำเป็นต้องอ่านข้อมูลจากไฟล์ซ้ำในแต่ละยุค:
validate_ds = packed_ds.take(N_VALIDATION).cache()
train_ds = packed_ds.skip(N_VALIDATION).take(N_TRAIN).cache()
train_ds
<CacheDataset element_spec=(TensorSpec(shape=(28,), dtype=tf.float32, name=None), TensorSpec(shape=(), dtype=tf.float32, name=None))>
ชุดข้อมูลเหล่านี้ส่งคืนตัวอย่างแต่ละรายการ ใช้วิธีการ .batch เพื่อสร้างชุดงานที่มีขนาดเหมาะสมสำหรับการฝึก ก่อนจัดแบทช์ อย่าลืม .shuffle และ .repeat ชุดการฝึก
validate_ds = validate_ds.batch(BATCH_SIZE)
train_ds = train_ds.shuffle(BUFFER_SIZE).repeat().batch(BATCH_SIZE)
แสดงให้เห็นถึงการสวมใส่มากเกินไป
วิธีที่ง่ายที่สุดในการป้องกันการโอเวอร์โหลดคือการเริ่มต้นด้วยโมเดลขนาดเล็ก: โมเดลที่มีพารามิเตอร์ที่เรียนรู้ได้จำนวนน้อย (ซึ่งกำหนดโดยจำนวนเลเยอร์และจำนวนหน่วยต่อเลเยอร์) ในการเรียนรู้เชิงลึก จำนวนของพารามิเตอร์ที่เรียนรู้ได้ในตัวแบบมักถูกเรียกว่า "ความจุ" ของโมเดล
ตามสัญชาตญาณ โมเดลที่มีพารามิเตอร์มากกว่าจะมี "ความสามารถในการจำ" มากกว่า ดังนั้นจะสามารถเรียนรู้การทำแผนที่เหมือนพจนานุกรมที่สมบูรณ์แบบได้อย่างง่ายดายระหว่างตัวอย่างการฝึกกับเป้าหมาย การทำแผนที่โดยไม่มีอำนาจการทำให้เป็นนัยทั่วไป แต่จะไร้ประโยชน์เมื่อทำการคาดคะเน กับข้อมูลที่มองไม่เห็นก่อนหน้านี้
จำสิ่งนี้ไว้เสมอ: โมเดลการเรียนรู้เชิงลึกมีแนวโน้มที่จะเหมาะสมกับข้อมูลการฝึกอบรม แต่ความท้าทายที่แท้จริงคือการทำให้เป็นภาพรวม ไม่เหมาะ
ในทางกลับกัน หากเครือข่ายมีทรัพยากรการท่องจำที่จำกัด จะไม่สามารถเรียนรู้การทำแผนที่ได้อย่างง่ายดาย เพื่อลดการสูญเสียให้เหลือน้อยที่สุด จะต้องเรียนรู้การแทนค่าที่บีบอัดซึ่งมีพลังในการทำนายมากกว่า ในเวลาเดียวกัน หากคุณทำให้แบบจำลองของคุณเล็กเกินไป จะมีปัญหาในการปรับให้เข้ากับข้อมูลการฝึก มีความสมดุลระหว่าง "ความจุมากเกินไป" และ "ความจุไม่เพียงพอ"
ขออภัย ไม่มีสูตรมหัศจรรย์ในการกำหนดขนาดหรือสถาปัตยกรรมที่เหมาะสมของโมเดลของคุณ (ในแง่ของจำนวนเลเยอร์ หรือขนาดที่เหมาะสมสำหรับแต่ละเลเยอร์) คุณจะต้องทดลองโดยใช้ชุดสถาปัตยกรรมต่างๆ
ในการค้นหาขนาดโมเดลที่เหมาะสม เป็นการดีที่สุดที่จะเริ่มต้นด้วยเลเยอร์และพารามิเตอร์ที่ค่อนข้างน้อย จากนั้นเริ่มเพิ่มขนาดของเลเยอร์หรือเพิ่มเลเยอร์ใหม่จนกว่าคุณจะเห็นผลตอบแทนที่ลดลงจากการสูญเสียการตรวจสอบ
เริ่มต้นด้วยโมเดลง่ายๆ โดยใช้เลเยอร์เท่านั้น layers.Dense เป็นพื้นฐาน จากนั้นสร้างเวอร์ชันที่ใหญ่ขึ้น และเปรียบเทียบ
ขั้นตอนการอบรม
โมเดลจำนวนมากฝึกฝนได้ดีขึ้นหากคุณค่อยๆ ลดอัตราการเรียนรู้ระหว่างการฝึก ใช้ optimizers.schedules เพื่อลดอัตราการเรียนรู้เมื่อเวลาผ่านไป:
lr_schedule = tf.keras.optimizers.schedules.InverseTimeDecay(
0.001,
decay_steps=STEPS_PER_EPOCH*1000,
decay_rate=1,
staircase=False)
def get_optimizer():
return tf.keras.optimizers.Adam(lr_schedule)
โค้ดด้านบนกำหนด schedules.InverseTimeDecay InverseTimeDecay เพื่อลดอัตราการเรียนรู้แบบไฮเปอร์โบลาลงเหลือ 1/2 ของอัตราฐานที่ 1,000 epochs, 1/3 ที่ 2000 epochs เป็นต้น
step = np.linspace(0,100000)
lr = lr_schedule(step)
plt.figure(figsize = (8,6))
plt.plot(step/STEPS_PER_EPOCH, lr)
plt.ylim([0,max(plt.ylim())])
plt.xlabel('Epoch')
_ = plt.ylabel('Learning Rate')

แต่ละรุ่นในบทช่วยสอนนี้จะใช้การกำหนดค่าการฝึกเหมือนกัน ดังนั้นให้ตั้งค่าเหล่านี้ในลักษณะที่ใช้ซ้ำได้ โดยเริ่มจากรายการการโทรกลับ
การฝึกอบรมสำหรับบทช่วยสอนนี้ดำเนินการในช่วงเวลาสั้นๆ มากมาย เพื่อลดเสียงรบกวนในการบันทึกให้ใช้ tfdocs.EpochDots ซึ่งพิมพ์ไฟล์ . สำหรับแต่ละยุค และชุดเมตริกทั้งหมดทุกๆ 100 ยุค
ถัดไปรวมถึง callbacks.EarlyStopping การหยุดก่อนกำหนดเพื่อหลีกเลี่ยงเวลาการฝึกอบรมที่ยาวนานและไม่จำเป็น โปรดทราบว่าการเรียกกลับนี้ถูกตั้งค่าให้มอนิเตอร์ val_binary_crossentropy ไม่ใช่ val_loss ความแตกต่างนี้จะมีความสำคัญในภายหลัง
ใช้ callbacks.TensorBoard เพื่อสร้างบันทึก TensorBoard สำหรับการฝึกอบรม
def get_callbacks(name):
return [
tfdocs.modeling.EpochDots(),
tf.keras.callbacks.EarlyStopping(monitor='val_binary_crossentropy', patience=200),
tf.keras.callbacks.TensorBoard(logdir/name),
]
ในทำนองเดียวกัน แต่ละรุ่นจะใช้การตั้งค่า Model.compile และ Model.fit เดียวกัน:
def compile_and_fit(model, name, optimizer=None, max_epochs=10000):
if optimizer is None:
optimizer = get_optimizer()
model.compile(optimizer=optimizer,
loss=tf.keras.losses.BinaryCrossentropy(from_logits=True),
metrics=[
tf.keras.losses.BinaryCrossentropy(
from_logits=True, name='binary_crossentropy'),
'accuracy'])
model.summary()
history = model.fit(
train_ds,
steps_per_epoch = STEPS_PER_EPOCH,
epochs=max_epochs,
validation_data=validate_ds,
callbacks=get_callbacks(name),
verbose=0)
return history
โมเดลจิ๋ว
เริ่มต้นด้วยการฝึกโมเดล:
tiny_model = tf.keras.Sequential([
layers.Dense(16, activation='elu', input_shape=(FEATURES,)),
layers.Dense(1)
])
size_histories = {}
size_histories['Tiny'] = compile_and_fit(tiny_model, 'sizes/Tiny')
Model: "sequential"
_________________________________________________________________
Layer (type) Output Shape Param #
=================================================================
dense (Dense) (None, 16) 464
dense_1 (Dense) (None, 1) 17
=================================================================
Total params: 481
Trainable params: 481
Non-trainable params: 0
_________________________________________________________________
Epoch: 0, accuracy:0.4961, binary_crossentropy:0.7294, loss:0.7294, val_accuracy:0.4840, val_binary_crossentropy:0.7200, val_loss:0.7200,
....................................................................................................
Epoch: 100, accuracy:0.5931, binary_crossentropy:0.6279, loss:0.6279, val_accuracy:0.5860, val_binary_crossentropy:0.6288, val_loss:0.6288,
....................................................................................................
Epoch: 200, accuracy:0.6157, binary_crossentropy:0.6178, loss:0.6178, val_accuracy:0.6200, val_binary_crossentropy:0.6134, val_loss:0.6134,
....................................................................................................
Epoch: 300, accuracy:0.6370, binary_crossentropy:0.6086, loss:0.6086, val_accuracy:0.6220, val_binary_crossentropy:0.6055, val_loss:0.6055,
....................................................................................................
Epoch: 400, accuracy:0.6522, binary_crossentropy:0.6008, loss:0.6008, val_accuracy:0.6260, val_binary_crossentropy:0.5997, val_loss:0.5997,
....................................................................................................
Epoch: 500, accuracy:0.6513, binary_crossentropy:0.5946, loss:0.5946, val_accuracy:0.6480, val_binary_crossentropy:0.5911, val_loss:0.5911,
....................................................................................................
Epoch: 600, accuracy:0.6636, binary_crossentropy:0.5894, loss:0.5894, val_accuracy:0.6390, val_binary_crossentropy:0.5898, val_loss:0.5898,
....................................................................................................
Epoch: 700, accuracy:0.6696, binary_crossentropy:0.5852, loss:0.5852, val_accuracy:0.6530, val_binary_crossentropy:0.5870, val_loss:0.5870,
....................................................................................................
Epoch: 800, accuracy:0.6706, binary_crossentropy:0.5824, loss:0.5824, val_accuracy:0.6590, val_binary_crossentropy:0.5850, val_loss:0.5850,
....................................................................................................
Epoch: 900, accuracy:0.6709, binary_crossentropy:0.5796, loss:0.5796, val_accuracy:0.6680, val_binary_crossentropy:0.5831, val_loss:0.5831,
....................................................................................................
Epoch: 1000, accuracy:0.6780, binary_crossentropy:0.5769, loss:0.5769, val_accuracy:0.6530, val_binary_crossentropy:0.5851, val_loss:0.5851,
....................................................................................................
Epoch: 1100, accuracy:0.6735, binary_crossentropy:0.5752, loss:0.5752, val_accuracy:0.6620, val_binary_crossentropy:0.5807, val_loss:0.5807,
....................................................................................................
Epoch: 1200, accuracy:0.6759, binary_crossentropy:0.5729, loss:0.5729, val_accuracy:0.6620, val_binary_crossentropy:0.5792, val_loss:0.5792,
....................................................................................................
Epoch: 1300, accuracy:0.6849, binary_crossentropy:0.5716, loss:0.5716, val_accuracy:0.6450, val_binary_crossentropy:0.5859, val_loss:0.5859,
....................................................................................................
Epoch: 1400, accuracy:0.6790, binary_crossentropy:0.5695, loss:0.5695, val_accuracy:0.6700, val_binary_crossentropy:0.5776, val_loss:0.5776,
....................................................................................................
Epoch: 1500, accuracy:0.6824, binary_crossentropy:0.5681, loss:0.5681, val_accuracy:0.6730, val_binary_crossentropy:0.5761, val_loss:0.5761,
....................................................................................................
Epoch: 1600, accuracy:0.6828, binary_crossentropy:0.5669, loss:0.5669, val_accuracy:0.6690, val_binary_crossentropy:0.5766, val_loss:0.5766,
....................................................................................................
Epoch: 1700, accuracy:0.6874, binary_crossentropy:0.5657, loss:0.5657, val_accuracy:0.6600, val_binary_crossentropy:0.5774, val_loss:0.5774,
....................................................................................................
Epoch: 1800, accuracy:0.6845, binary_crossentropy:0.5655, loss:0.5655, val_accuracy:0.6780, val_binary_crossentropy:0.5752, val_loss:0.5752,
....................................................................................................
Epoch: 1900, accuracy:0.6837, binary_crossentropy:0.5644, loss:0.5644, val_accuracy:0.6790, val_binary_crossentropy:0.5753, val_loss:0.5753,
....................................................................................................
Epoch: 2000, accuracy:0.6853, binary_crossentropy:0.5632, loss:0.5632, val_accuracy:0.6780, val_binary_crossentropy:0.5753, val_loss:0.5753,
....................................................................................................
Epoch: 2100, accuracy:0.6871, binary_crossentropy:0.5625, loss:0.5625, val_accuracy:0.6670, val_binary_crossentropy:0.5769, val_loss:0.5769,
...................................
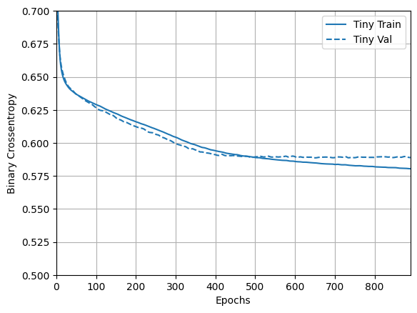
ตอนนี้ตรวจสอบว่าโมเดลทำอย่างไร:
plotter = tfdocs.plots.HistoryPlotter(metric = 'binary_crossentropy', smoothing_std=10)
plotter.plot(size_histories)
plt.ylim([0.5, 0.7])
(0.5, 0.7)

รุ่นเล็ก
หากต้องการดูว่าคุณสามารถเอาชนะประสิทธิภาพของรุ่นเล็กได้หรือไม่ ให้ฝึกรุ่นที่ใหญ่กว่าบางรุ่นไปเรื่อยๆ
ลองสองชั้นที่ซ่อนอยู่โดยแต่ละหน่วยมี 16 หน่วย:
small_model = tf.keras.Sequential([
# `input_shape` is only required here so that `.summary` works.
layers.Dense(16, activation='elu', input_shape=(FEATURES,)),
layers.Dense(16, activation='elu'),
layers.Dense(1)
])
size_histories['Small'] = compile_and_fit(small_model, 'sizes/Small')
Model: "sequential_1"
_________________________________________________________________
Layer (type) Output Shape Param #
=================================================================
dense_2 (Dense) (None, 16) 464
dense_3 (Dense) (None, 16) 272
dense_4 (Dense) (None, 1) 17
=================================================================
Total params: 753
Trainable params: 753
Non-trainable params: 0
_________________________________________________________________
Epoch: 0, accuracy:0.4864, binary_crossentropy:0.7769, loss:0.7769, val_accuracy:0.4930, val_binary_crossentropy:0.7211, val_loss:0.7211,
....................................................................................................
Epoch: 100, accuracy:0.6386, binary_crossentropy:0.6052, loss:0.6052, val_accuracy:0.6020, val_binary_crossentropy:0.6177, val_loss:0.6177,
....................................................................................................
Epoch: 200, accuracy:0.6697, binary_crossentropy:0.5829, loss:0.5829, val_accuracy:0.6310, val_binary_crossentropy:0.6018, val_loss:0.6018,
....................................................................................................
Epoch: 300, accuracy:0.6838, binary_crossentropy:0.5721, loss:0.5721, val_accuracy:0.6490, val_binary_crossentropy:0.5940, val_loss:0.5940,
....................................................................................................
Epoch: 400, accuracy:0.6911, binary_crossentropy:0.5656, loss:0.5656, val_accuracy:0.6430, val_binary_crossentropy:0.5985, val_loss:0.5985,
....................................................................................................
Epoch: 500, accuracy:0.6930, binary_crossentropy:0.5607, loss:0.5607, val_accuracy:0.6430, val_binary_crossentropy:0.6028, val_loss:0.6028,
.........................
รุ่นกลาง
ตอนนี้ลอง 3 เลเยอร์ที่ซ่อนอยู่โดยแต่ละ 64 ยูนิต:
medium_model = tf.keras.Sequential([
layers.Dense(64, activation='elu', input_shape=(FEATURES,)),
layers.Dense(64, activation='elu'),
layers.Dense(64, activation='elu'),
layers.Dense(1)
])
และฝึกโมเดลโดยใช้ข้อมูลเดียวกัน:
size_histories['Medium'] = compile_and_fit(medium_model, "sizes/Medium")
Model: "sequential_2"
_________________________________________________________________
Layer (type) Output Shape Param #
=================================================================
dense_5 (Dense) (None, 64) 1856
dense_6 (Dense) (None, 64) 4160
dense_7 (Dense) (None, 64) 4160
dense_8 (Dense) (None, 1) 65
=================================================================
Total params: 10,241
Trainable params: 10,241
Non-trainable params: 0
_________________________________________________________________
Epoch: 0, accuracy:0.5017, binary_crossentropy:0.6840, loss:0.6840, val_accuracy:0.4790, val_binary_crossentropy:0.6723, val_loss:0.6723,
....................................................................................................
Epoch: 100, accuracy:0.7173, binary_crossentropy:0.5221, loss:0.5221, val_accuracy:0.6470, val_binary_crossentropy:0.6111, val_loss:0.6111,
....................................................................................................
Epoch: 200, accuracy:0.7884, binary_crossentropy:0.4270, loss:0.4270, val_accuracy:0.6390, val_binary_crossentropy:0.7045, val_loss:0.7045,
..............................................................
รุ่นใหญ่
ในการออกกำลังกาย คุณสามารถสร้างแบบจำลองที่ใหญ่ขึ้นอีก และดูว่ามันเริ่มใส่มากเกินไปได้เร็วแค่ไหน ต่อไป เรามาเพิ่มเครือข่ายที่มีความจุมากกว่าในเกณฑ์มาตรฐานนี้ มากกว่าที่ปัญหาจะรับประกัน:
large_model = tf.keras.Sequential([
layers.Dense(512, activation='elu', input_shape=(FEATURES,)),
layers.Dense(512, activation='elu'),
layers.Dense(512, activation='elu'),
layers.Dense(512, activation='elu'),
layers.Dense(1)
])
และอีกครั้ง ฝึกโมเดลโดยใช้ข้อมูลเดียวกัน:
size_histories['large'] = compile_and_fit(large_model, "sizes/large")
Model: "sequential_3"
_________________________________________________________________
Layer (type) Output Shape Param #
=================================================================
dense_9 (Dense) (None, 512) 14848
dense_10 (Dense) (None, 512) 262656
dense_11 (Dense) (None, 512) 262656
dense_12 (Dense) (None, 512) 262656
dense_13 (Dense) (None, 1) 513
=================================================================
Total params: 803,329
Trainable params: 803,329
Non-trainable params: 0
_________________________________________________________________
Epoch: 0, accuracy:0.5145, binary_crossentropy:0.7740, loss:0.7740, val_accuracy:0.4980, val_binary_crossentropy:0.6793, val_loss:0.6793,
....................................................................................................
Epoch: 100, accuracy:1.0000, binary_crossentropy:0.0020, loss:0.0020, val_accuracy:0.6600, val_binary_crossentropy:1.8540, val_loss:1.8540,
....................................................................................................
Epoch: 200, accuracy:1.0000, binary_crossentropy:0.0001, loss:0.0001, val_accuracy:0.6560, val_binary_crossentropy:2.5293, val_loss:2.5293,
..........................
วางแผนการสูญเสียการฝึกอบรมและการตรวจสอบ
เส้นทึบแสดงถึงการสูญเสียการฝึก และเส้นประแสดงการสูญเสียการตรวจสอบ (จำไว้ว่า: การสูญเสียการตรวจสอบที่ต่ำกว่าบ่งชี้ถึงรูปแบบที่ดีกว่า)
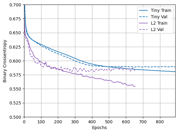
ในขณะที่การสร้างแบบจำลองที่ใหญ่ขึ้นจะให้พลังที่มากกว่า หากพลังนี้ไม่ถูกจำกัด ยังไงก็ตาม มันก็สามารถเข้ากับชุดการฝึกได้อย่างง่ายดาย
ในตัวอย่างนี้ โดยทั่วไปแล้ว มีเพียงโมเดล "Tiny" เท่านั้นที่จัดการเพื่อหลีกเลี่ยงไม่ให้โอเวอร์ฟิตไปพร้อมกัน และโมเดลที่ใหญ่กว่าแต่ละรุ่นจะพอดีกับข้อมูลได้เร็วกว่า สิ่งนี้จะรุนแรงมากสำหรับโมเดล "large" ที่คุณต้องเปลี่ยนโครงเรื่องเป็นมาตราส่วนบันทึกเพื่อดูว่าเกิดอะไรขึ้น
สิ่งนี้ชัดเจนหากคุณพล็อตและเปรียบเทียบเมตริกการตรวจสอบกับเมตริกการฝึกอบรม
- เป็นเรื่องปกติที่จะมีความแตกต่างเล็กน้อย
- หากตัวชี้วัดทั้งสองเคลื่อนไปในทิศทางเดียวกัน ทุกอย่างก็เรียบร้อย
- หากตัววัดการตรวจสอบเริ่มซบเซาในขณะที่ตัววัดการฝึกอบรมยังคงปรับปรุง แสดงว่าคุณใกล้จะฟิตเกินไปแล้ว
- หากตัววัดการตรวจสอบความถูกต้องไปในทิศทางที่ไม่ถูกต้อง แสดงว่าโมเดลมีสัดส่วนมากเกินไปอย่างเห็นได้ชัด
plotter.plot(size_histories)
a = plt.xscale('log')
plt.xlim([5, max(plt.xlim())])
plt.ylim([0.5, 0.7])
plt.xlabel("Epochs [Log Scale]")
Text(0.5, 0, 'Epochs [Log Scale]')ตัวยึดตำแหน่ง39

ดูใน TensorBoard
โมเดลเหล่านี้ทั้งหมดเขียนบันทึก TensorBoard ระหว่างการฝึก
เปิดโปรแกรมดู TensorBoard ที่ฝังไว้ภายในโน้ตบุ๊ก:
#docs_infra: no_execute
# Load the TensorBoard notebook extension
%load_ext tensorboard
# Open an embedded TensorBoard viewer
%tensorboard --logdir {logdir}/sizes
คุณสามารถดู ผลลัพธ์ของการรัน สมุดบันทึกนี้ครั้งก่อนได้ที่ TensorBoard.dev
TensorBoard.dev เป็นประสบการณ์ที่ได้รับการจัดการสำหรับการโฮสต์ ติดตาม และแชร์การทดลอง ML กับทุกคน
รวมอยู่ใน <iframe> เพื่อความสะดวก:
display.IFrame(
src="https://tensorboard.dev/experiment/vW7jmmF9TmKmy3rbheMQpw/#scalars&_smoothingWeight=0.97",
width="100%", height="800px")
หากคุณต้องการแชร์ผลลัพธ์ของ TensorBoard คุณสามารถอัปโหลดบันทึกไปยัง TensorBoard.dev โดยคัดลอกสิ่งต่อไปนี้ลงในเซลล์รหัส
tensorboard dev upload --logdir {logdir}/sizes
กลยุทธ์ป้องกันการใส่มากเกินไป
ก่อนเข้าสู่เนื้อหาในส่วนนี้ ให้คัดลอกบันทึกการฝึกจากโมเดล "Tiny" ด้านบน เพื่อใช้เป็นข้อมูลพื้นฐานในการเปรียบเทียบ
shutil.rmtree(logdir/'regularizers/Tiny', ignore_errors=True)
shutil.copytree(logdir/'sizes/Tiny', logdir/'regularizers/Tiny')
PosixPath('/tmp/tmpn1rdh98q/tensorboard_logs/regularizers/Tiny')
regularizer_histories = {}
regularizer_histories['Tiny'] = size_histories['Tiny']
เพิ่มการปรับน้ำหนักให้สม่ำเสมอ
คุณอาจคุ้นเคยกับหลักการ Razor ของ Occam: เมื่อได้รับคำอธิบายสองข้อสำหรับบางสิ่ง คำอธิบายที่มีแนวโน้มว่าจะถูกต้องมากที่สุดคือคำอธิบายที่ "ง่ายที่สุด" ซึ่งเป็นคำอธิบายที่ให้การสันนิษฐานน้อยที่สุด สิ่งนี้ยังนำไปใช้กับแบบจำลองที่เรียนรู้โดยโครงข่ายประสาทเทียม: เมื่อพิจารณาจากข้อมูลการฝึกและสถาปัตยกรรมเครือข่าย มีค่าน้ำหนักหลายชุด (หลายรุ่น) ที่สามารถอธิบายข้อมูลได้ และแบบจำลองที่ง่ายกว่านั้นมีแนวโน้มที่จะเกินพอดีน้อยกว่าชุดที่ซับซ้อน
"โมเดลอย่างง่าย" ในบริบทนี้คือโมเดลที่การกระจายค่าพารามิเตอร์มีเอนโทรปีน้อยกว่า (หรือโมเดลที่มีพารามิเตอร์น้อยกว่าทั้งหมด ตามที่เราเห็นในหัวข้อด้านบน) ดังนั้น วิธีทั่วไปในการบรรเทาความเหมาะสมคือการวางข้อจำกัดในความซับซ้อนของเครือข่าย โดยการบังคับน้ำหนักของเครือข่ายให้รับค่าเพียงเล็กน้อยเท่านั้น ซึ่งทำให้การกระจายของค่าน้ำหนัก "ปกติ" มากขึ้น สิ่งนี้เรียกว่า "การทำให้เป็นมาตรฐานของน้ำหนัก" และทำได้โดยการเพิ่มต้นทุนที่เกี่ยวข้องกับการมีน้ำหนักมากในฟังก์ชันการสูญเสียของเครือข่าย ค่าใช้จ่ายนี้มาในสองรสชาติ:
การทำให้เป็นมาตรฐาน L1 โดยที่ต้นทุนที่เพิ่มเป็นสัดส่วนกับค่าสัมบูรณ์ของสัมประสิทธิ์น้ำหนัก (กล่าวคือ กับสิ่งที่เรียกว่า "บรรทัดฐาน L1" ของตุ้มน้ำหนัก)
การทำให้เป็นมาตรฐาน L2 โดยที่ต้นทุนเพิ่มเป็นสัดส่วนกับกำลังสองของค่าสัมประสิทธิ์น้ำหนัก (กล่าวคือ เรียกว่า "บรรทัดฐาน L2" กำลังสองของตุ้มน้ำหนัก) การทำให้เป็นมาตรฐาน L2 เรียกอีกอย่างว่าการลดน้ำหนักในบริบทของโครงข่ายประสาทเทียม อย่าปล่อยให้ชื่ออื่นสร้างความสับสนให้กับคุณ: น้ำหนักที่ลดลงนั้นทางคณิตศาสตร์เหมือนกับการทำให้เป็นมาตรฐาน L2
การทำให้เป็นมาตรฐาน L1 ผลักน้ำหนักไปที่ศูนย์พอดีกระตุ้นให้เกิดแบบจำลองที่กระจัดกระจาย การทำให้เป็นมาตรฐานของ L2 จะลงโทษพารามิเตอร์น้ำหนักโดยไม่ทำให้เบาบาง เนื่องจากการปรับให้เป็นศูนย์สำหรับน้ำหนักขนาดเล็ก เหตุผลหนึ่งที่ทำให้ L2 เป็นเรื่องธรรมดามากกว่า
ใน tf.keras การปรับน้ำหนักให้เป็นมาตรฐานจะถูกเพิ่มโดยการส่งผ่านอินสแตนซ์ตัวปรับน้ำหนักไปยังเลเยอร์เป็นอาร์กิวเมนต์ของคำหลัก มาเพิ่มการปรับน้ำหนัก L2 กันเถอะ
l2_model = tf.keras.Sequential([
layers.Dense(512, activation='elu',
kernel_regularizer=regularizers.l2(0.001),
input_shape=(FEATURES,)),
layers.Dense(512, activation='elu',
kernel_regularizer=regularizers.l2(0.001)),
layers.Dense(512, activation='elu',
kernel_regularizer=regularizers.l2(0.001)),
layers.Dense(512, activation='elu',
kernel_regularizer=regularizers.l2(0.001)),
layers.Dense(1)
])
regularizer_histories['l2'] = compile_and_fit(l2_model, "regularizers/l2")
Model: "sequential_4"
_________________________________________________________________
Layer (type) Output Shape Param #
=================================================================
dense_14 (Dense) (None, 512) 14848
dense_15 (Dense) (None, 512) 262656
dense_16 (Dense) (None, 512) 262656
dense_17 (Dense) (None, 512) 262656
dense_18 (Dense) (None, 1) 513
=================================================================
Total params: 803,329
Trainable params: 803,329
Non-trainable params: 0
_________________________________________________________________
Epoch: 0, accuracy:0.5126, binary_crossentropy:0.7481, loss:2.2415, val_accuracy:0.4950, val_binary_crossentropy:0.6707, val_loss:2.0653,
....................................................................................................
Epoch: 100, accuracy:0.6625, binary_crossentropy:0.5945, loss:0.6173, val_accuracy:0.6400, val_binary_crossentropy:0.5871, val_loss:0.6100,
....................................................................................................
Epoch: 200, accuracy:0.6690, binary_crossentropy:0.5864, loss:0.6079, val_accuracy:0.6650, val_binary_crossentropy:0.5856, val_loss:0.6076,
....................................................................................................
Epoch: 300, accuracy:0.6790, binary_crossentropy:0.5762, loss:0.5976, val_accuracy:0.6550, val_binary_crossentropy:0.5881, val_loss:0.6095,
....................................................................................................
Epoch: 400, accuracy:0.6843, binary_crossentropy:0.5697, loss:0.5920, val_accuracy:0.6650, val_binary_crossentropy:0.5878, val_loss:0.6101,
....................................................................................................
Epoch: 500, accuracy:0.6897, binary_crossentropy:0.5651, loss:0.5907, val_accuracy:0.6890, val_binary_crossentropy:0.5798, val_loss:0.6055,
....................................................................................................
Epoch: 600, accuracy:0.6945, binary_crossentropy:0.5610, loss:0.5864, val_accuracy:0.6820, val_binary_crossentropy:0.5772, val_loss:0.6026,
..........................................................
l2(0.001) หมายความว่าทุกสัมประสิทธิ์ในเมทริกซ์น้ำหนักของเลเยอร์จะเพิ่ม 0.001 * weight_coefficient_value**2 ให้กับการ สูญเสีย ทั้งหมดของเครือข่าย
นั่นคือเหตุผลที่เรากำลังตรวจสอบ binary_crossentropy โดยตรง เนื่องจากไม่มีองค์ประกอบการทำให้เป็นมาตรฐานนี้ผสมอยู่
ดังนั้น โมเดล "Large" แบบเดียวกันที่มีการ L2 ให้เป็นมาตรฐานจึงทำงานได้ดีกว่ามาก:
plotter.plot(regularizer_histories)
plt.ylim([0.5, 0.7])
(0.5, 0.7)

อย่างที่คุณเห็น ขณะนี้โมเดล "L2" ปกติสามารถแข่งขันกับโมเดล "Tiny" ได้มากขึ้น รุ่น "L2" นี้ยังทนทานต่อการใส่มากเกินไปกว่ารุ่น "Large" ที่อิงตามแม้ว่าจะมีจำนวนพารามิเตอร์เท่ากันก็ตาม
ข้อมูลเพิ่มเติม
มีสองสิ่งสำคัญที่ควรทราบเกี่ยวกับการทำให้เป็นมาตรฐานประเภทนี้
อย่าง แรก: หากคุณกำลังเขียนลูปการฝึกอบรมของคุณเอง คุณต้องแน่ใจว่าได้สอบถามโมเดลสำหรับการสูญเสียการทำให้เป็นมาตรฐาน
result = l2_model(features)
regularization_loss=tf.add_n(l2_model.losses)
ประการที่สอง: การใช้งานนี้ทำงานโดยเพิ่มบทลงโทษด้านน้ำหนักให้กับการสูญเสียของแบบจำลอง จากนั้นจึงใช้ขั้นตอนการเพิ่มประสิทธิภาพมาตรฐานหลังจากนั้น
มีวิธีที่สองที่เรียกใช้ตัวเพิ่มประสิทธิภาพเฉพาะกับการสูญเสียดิบแทน จากนั้นในขณะที่ใช้ขั้นตอนที่คำนวณ โปรแกรมเพิ่มประสิทธิภาพก็ใช้การลดน้ำหนักบางส่วนด้วย "การสลายตัวของน้ำหนักแบบแยกส่วน" นี้มีให้เห็นในเครื่องมือเพิ่มประสิทธิภาพ เช่น optimizers.FTRL และ optimizers.AdamW
เพิ่มการออกกลางคัน
Dropout เป็นหนึ่งในเทคนิคการทำให้เป็นมาตรฐานและมีประสิทธิภาพมากที่สุดสำหรับโครงข่ายประสาทเทียม พัฒนาโดยฮินตันและนักศึกษาของเขาที่มหาวิทยาลัยโตรอนโต
คำอธิบายที่เข้าใจง่ายสำหรับการออกกลางคันคือ เนื่องจากแต่ละโหนดในเครือข่ายไม่สามารถพึ่งพาเอาต์พุตของโหนดอื่นๆ ได้ แต่ละโหนดต้องแสดงคุณลักษณะที่เป็นประโยชน์ในตัวเอง
การออกกลางคัน ใช้กับเลเยอร์ประกอบด้วย "การออกจากระบบ" แบบสุ่ม (เช่น ตั้งค่าเป็นศูนย์) คุณลักษณะเอาต์พุตจำนวนหนึ่งของเลเยอร์ระหว่างการฝึก สมมติว่าเลเยอร์ที่กำหนดโดยปกติจะส่งเวกเตอร์ [0.2, 0.5, 1.3, 0.8, 1.1] สำหรับตัวอย่างอินพุตที่กำหนดระหว่างการฝึก หลังจากใช้ dropout เวกเตอร์นี้จะมีรายการศูนย์สองสามรายการโดยสุ่มแจก เช่น [0, 0.5, 1.3, 0, 1.1]
"อัตราการออกกลางคัน" คือเศษส่วนของคุณสมบัติที่ถูกทำให้เป็นศูนย์ โดยปกติจะถูกตั้งค่าระหว่าง 0.2 ถึง 0.5 ในขณะทดสอบ จะไม่มีการถอดหน่วยใดออก และค่าเอาท์พุตของเลเยอร์จะถูกลดขนาดลงด้วยปัจจัยที่เท่ากับอัตราการออกกลางคันแทน เพื่อให้สมดุลกับความจริงที่ว่าหน่วยมีการใช้งานมากกว่าเวลาฝึก
ใน tf.keras คุณสามารถแนะนำ dropout ในเครือข่ายผ่านเลเยอร์ Dropout ซึ่งจะนำไปใช้กับเอาต์พุตของเลเยอร์ก่อนหน้านี้
มาเพิ่มเลเยอร์ Dropout สองเลเยอร์ในเครือข่ายของเราเพื่อดูว่าพวกมันช่วยลดการโอเวอร์ฟิตได้ดีเพียงใด:
dropout_model = tf.keras.Sequential([
layers.Dense(512, activation='elu', input_shape=(FEATURES,)),
layers.Dropout(0.5),
layers.Dense(512, activation='elu'),
layers.Dropout(0.5),
layers.Dense(512, activation='elu'),
layers.Dropout(0.5),
layers.Dense(512, activation='elu'),
layers.Dropout(0.5),
layers.Dense(1)
])
regularizer_histories['dropout'] = compile_and_fit(dropout_model, "regularizers/dropout")
Model: "sequential_5"
_________________________________________________________________
Layer (type) Output Shape Param #
=================================================================
dense_19 (Dense) (None, 512) 14848
dropout (Dropout) (None, 512) 0
dense_20 (Dense) (None, 512) 262656
dropout_1 (Dropout) (None, 512) 0
dense_21 (Dense) (None, 512) 262656
dropout_2 (Dropout) (None, 512) 0
dense_22 (Dense) (None, 512) 262656
dropout_3 (Dropout) (None, 512) 0
dense_23 (Dense) (None, 1) 513
=================================================================
Total params: 803,329
Trainable params: 803,329
Non-trainable params: 0
_________________________________________________________________
Epoch: 0, accuracy:0.4961, binary_crossentropy:0.8110, loss:0.8110, val_accuracy:0.5330, val_binary_crossentropy:0.6900, val_loss:0.6900,
....................................................................................................
Epoch: 100, accuracy:0.6557, binary_crossentropy:0.5961, loss:0.5961, val_accuracy:0.6710, val_binary_crossentropy:0.5788, val_loss:0.5788,
....................................................................................................
Epoch: 200, accuracy:0.6871, binary_crossentropy:0.5622, loss:0.5622, val_accuracy:0.6860, val_binary_crossentropy:0.5856, val_loss:0.5856,
....................................................................................................
Epoch: 300, accuracy:0.7246, binary_crossentropy:0.5121, loss:0.5121, val_accuracy:0.6820, val_binary_crossentropy:0.5927, val_loss:0.5927,
............
plotter.plot(regularizer_histories)
plt.ylim([0.5, 0.7])
(0.5, 0.7)

จากพล็อตนี้ชัดเจนแล้วว่าแนวทางการทำให้เป็นมาตรฐานทั้งสองนี้ช่วยปรับปรุงพฤติกรรมของโมเดล "Large" แต่สิ่งนี้ก็ยังไม่สามารถเอาชนะแม้แต่เส้นฐานที่ "Tiny" ได้
ต่อไปลองทั้งสองอย่างรวมกันแล้วดูว่าดีขึ้นหรือไม่
รวม L2 + การออกกลางคัน
combined_model = tf.keras.Sequential([
layers.Dense(512, kernel_regularizer=regularizers.l2(0.0001),
activation='elu', input_shape=(FEATURES,)),
layers.Dropout(0.5),
layers.Dense(512, kernel_regularizer=regularizers.l2(0.0001),
activation='elu'),
layers.Dropout(0.5),
layers.Dense(512, kernel_regularizer=regularizers.l2(0.0001),
activation='elu'),
layers.Dropout(0.5),
layers.Dense(512, kernel_regularizer=regularizers.l2(0.0001),
activation='elu'),
layers.Dropout(0.5),
layers.Dense(1)
])
regularizer_histories['combined'] = compile_and_fit(combined_model, "regularizers/combined")
Model: "sequential_6"
_________________________________________________________________
Layer (type) Output Shape Param #
=================================================================
dense_24 (Dense) (None, 512) 14848
dropout_4 (Dropout) (None, 512) 0
dense_25 (Dense) (None, 512) 262656
dropout_5 (Dropout) (None, 512) 0
dense_26 (Dense) (None, 512) 262656
dropout_6 (Dropout) (None, 512) 0
dense_27 (Dense) (None, 512) 262656
dropout_7 (Dropout) (None, 512) 0
dense_28 (Dense) (None, 1) 513
=================================================================
Total params: 803,329
Trainable params: 803,329
Non-trainable params: 0
_________________________________________________________________
Epoch: 0, accuracy:0.5090, binary_crossentropy:0.8064, loss:0.9648, val_accuracy:0.4660, val_binary_crossentropy:0.6877, val_loss:0.8454,
....................................................................................................
Epoch: 100, accuracy:0.6445, binary_crossentropy:0.6050, loss:0.6350, val_accuracy:0.6630, val_binary_crossentropy:0.5871, val_loss:0.6169,
....................................................................................................
Epoch: 200, accuracy:0.6660, binary_crossentropy:0.5932, loss:0.6186, val_accuracy:0.6880, val_binary_crossentropy:0.5722, val_loss:0.5975,
....................................................................................................
Epoch: 300, accuracy:0.6697, binary_crossentropy:0.5818, loss:0.6100, val_accuracy:0.6900, val_binary_crossentropy:0.5614, val_loss:0.5895,
....................................................................................................
Epoch: 400, accuracy:0.6749, binary_crossentropy:0.5742, loss:0.6046, val_accuracy:0.6870, val_binary_crossentropy:0.5576, val_loss:0.5881,
....................................................................................................
Epoch: 500, accuracy:0.6854, binary_crossentropy:0.5703, loss:0.6029, val_accuracy:0.6970, val_binary_crossentropy:0.5458, val_loss:0.5784,
....................................................................................................
Epoch: 600, accuracy:0.6806, binary_crossentropy:0.5673, loss:0.6015, val_accuracy:0.6980, val_binary_crossentropy:0.5453, val_loss:0.5795,
....................................................................................................
Epoch: 700, accuracy:0.6937, binary_crossentropy:0.5583, loss:0.5938, val_accuracy:0.6870, val_binary_crossentropy:0.5477, val_loss:0.5832,
....................................................................................................
Epoch: 800, accuracy:0.6911, binary_crossentropy:0.5576, loss:0.5947, val_accuracy:0.7000, val_binary_crossentropy:0.5446, val_loss:0.5817,
.......................
plotter.plot(regularizer_histories)
plt.ylim([0.5, 0.7])
(0.5, 0.7)

โมเดลที่มีการทำให้เป็นมาตรฐาน "Combined" นี้เห็นได้ชัดว่าเป็นโมเดลที่ดีที่สุด
ดูใน TensorBoard
โมเดลเหล่านี้ยังบันทึกบันทึก TensorBoard
ในการเปิดดูเทนเซอร์บอร์ดที่ฝังไว้ภายในโน้ตบุ๊ก ให้คัดลอกสิ่งต่อไปนี้ลงในเซลล์โค้ด:
%tensorboard --logdir {logdir}/regularizers
คุณสามารถดู ผลลัพธ์ของการรัน สมุดบันทึกนี้ครั้งก่อนได้ที่ TensorDoard.dev
รวมอยู่ใน <iframe> เพื่อความสะดวก:
display.IFrame(
src="https://tensorboard.dev/experiment/fGInKDo8TXes1z7HQku9mw/#scalars&_smoothingWeight=0.97",
width = "100%",
height="800px")
นี้ถูกอัปโหลดด้วย:
tensorboard dev upload --logdir {logdir}/regularizers
บทสรุป
เพื่อสรุป: ต่อไปนี้เป็นวิธีทั่วไปในการป้องกันการ overfitting ในโครงข่ายประสาทเทียม:
- รับข้อมูลการฝึกอบรมเพิ่มเติม
- ลดความจุของเครือข่าย
- เพิ่มการปรับน้ำหนักให้สม่ำเสมอ
- เพิ่มการออกกลางคัน
แนวทางสำคัญสองประการที่ไม่ได้กล่าวถึงในคู่มือนี้คือ:
- ข้อมูลเสริม
- การทำให้เป็นมาตรฐานแบบแบตช์
โปรดจำไว้ว่าแต่ละวิธีสามารถช่วยได้ด้วยตัวเอง แต่บ่อยครั้งที่การรวมเข้าด้วยกันอาจมีประสิทธิภาพมากกว่า
# MIT License
#
# Copyright (c) 2017 François Chollet
#
# Permission is hereby granted, free of charge, to any person obtaining a
# copy of this software and associated documentation files (the "Software"),
# to deal in the Software without restriction, including without limitation
# the rights to use, copy, modify, merge, publish, distribute, sublicense,
# and/or sell copies of the Software, and to permit persons to whom the
# Software is furnished to do so, subject to the following conditions:
#
# The above copyright notice and this permission notice shall be included in
# all copies or substantial portions of the Software.
#
# THE SOFTWARE IS PROVIDED "AS IS", WITHOUT WARRANTY OF ANY KIND, EXPRESS OR
# IMPLIED, INCLUDING BUT NOT LIMITED TO THE WARRANTIES OF MERCHANTABILITY,
# FITNESS FOR A PARTICULAR PURPOSE AND NONINFRINGEMENT. IN NO EVENT SHALL
# THE AUTHORS OR COPYRIGHT HOLDERS BE LIABLE FOR ANY CLAIM, DAMAGES OR OTHER
# LIABILITY, WHETHER IN AN ACTION OF CONTRACT, TORT OR OTHERWISE, ARISING
# FROM, OUT OF OR IN CONNECTION WITH THE SOFTWARE OR THE USE OR OTHER
# DEALINGS IN THE SOFTWARE.
ดูบน TensorFlow.org
ทำงานใน Google Colab
ดูแหล่งที่มาบน GitHub
ดาวน์โหลดโน๊ตบุ๊ค