TensorFlow.org पर देखें | Google Colab में चलाएं | GitHub पर स्रोत देखें | नोटबुक डाउनलोड करें |
हमेशा की तरह, इस उदाहरण में कोड tf.keras API का उपयोग करेगा, जिसके बारे में आप TensorFlow Keras गाइड में अधिक जान सकते हैं।
पिछले दोनों उदाहरणों में - टेक्स्ट को वर्गीकृत करना और ईंधन दक्षता की भविष्यवाणी करना - हमने देखा कि सत्यापन डेटा पर हमारे मॉडल की सटीकता कई युगों के प्रशिक्षण के बाद चरम पर होगी, और फिर स्थिर हो जाएगी या घटने लगेगी।
दूसरे शब्दों में, हमारा मॉडल प्रशिक्षण डेटा से आगे निकल जाएगा। ओवरफिटिंग से निपटने का तरीका सीखना महत्वपूर्ण है। यद्यपि प्रशिक्षण सेट पर उच्च सटीकता प्राप्त करना अक्सर संभव होता है, हम वास्तव में ऐसे मॉडल विकसित करना चाहते हैं जो परीक्षण सेट (या डेटा जो उन्होंने पहले नहीं देखा है) के लिए अच्छी तरह से सामान्यीकृत किया हो।
ओवरफिटिंग के विपरीत अंडरफिटिंग है। अंडरफिटिंग तब होती है जब ट्रेन डेटा में सुधार की गुंजाइश होती है। यह कई कारणों से हो सकता है: यदि मॉडल पर्याप्त शक्तिशाली नहीं है, अति-नियमित है, या बस पर्याप्त रूप से प्रशिक्षित नहीं किया गया है। इसका मतलब है कि नेटवर्क ने प्रशिक्षण डेटा में प्रासंगिक पैटर्न नहीं सीखा है।
यदि आप बहुत लंबे समय तक प्रशिक्षण लेते हैं, तो मॉडल ओवरफिट होना शुरू कर देगा और प्रशिक्षण डेटा से पैटर्न सीखना शुरू कर देगा जो परीक्षण डेटा को सामान्यीकृत नहीं करता है। हमें संतुलन बनाने की जरूरत है। यह समझना कि उचित संख्या में युगों के लिए कैसे प्रशिक्षित किया जाए, जैसा कि हम नीचे देखेंगे, एक उपयोगी कौशल है।
ओवरफिटिंग को रोकने के लिए, सबसे अच्छा समाधान अधिक संपूर्ण प्रशिक्षण डेटा का उपयोग करना है। डेटासेट को इनपुट की पूरी श्रृंखला को कवर करना चाहिए जिसे मॉडल से संभालने की उम्मीद है। अतिरिक्त डेटा केवल तभी उपयोगी हो सकता है जब इसमें नए और दिलचस्प मामले शामिल हों।
अधिक संपूर्ण डेटा पर प्रशिक्षित एक मॉडल स्वाभाविक रूप से बेहतर सामान्यीकरण करेगा। जब यह संभव नहीं है, तो अगला सबसे अच्छा समाधान नियमितीकरण जैसी तकनीकों का उपयोग करना है। ये स्थान आपके मॉडल द्वारा संग्रहीत की जा सकने वाली जानकारी की मात्रा और प्रकार पर प्रतिबंध लगाते हैं। यदि कोई नेटवर्क केवल कुछ पैटर्नों को याद रखने का जोखिम उठा सकता है, तो अनुकूलन प्रक्रिया उसे सबसे प्रमुख पैटर्न पर ध्यान केंद्रित करने के लिए मजबूर करेगी, जिसमें अच्छी तरह से सामान्यीकरण की बेहतर संभावना है।
इस नोटबुक में, हम कई सामान्य नियमितीकरण तकनीकों का पता लगाएंगे, और उनका उपयोग वर्गीकरण मॉडल में सुधार के लिए करेंगे।
सेट अप
आरंभ करने से पहले, आवश्यक पैकेज आयात करें:
import tensorflow as tf
from tensorflow.keras import layers
from tensorflow.keras import regularizers
print(tf.__version__)
2.8.0-rc1
!pip install git+https://github.com/tensorflow/docs
import tensorflow_docs as tfdocs
import tensorflow_docs.modeling
import tensorflow_docs.plots
from IPython import display
from matplotlib import pyplot as plt
import numpy as np
import pathlib
import shutil
import tempfile
logdir = pathlib.Path(tempfile.mkdtemp())/"tensorboard_logs"
shutil.rmtree(logdir, ignore_errors=True)
हिग्स डेटासेट
इस ट्यूटोरियल का लक्ष्य कण भौतिकी करना नहीं है, इसलिए डेटासेट के विवरण पर ध्यान न दें। इसमें 11,000,000 उदाहरण हैं, प्रत्येक में 28 विशेषताएं हैं, और एक बाइनरी क्लास लेबल है।
gz = tf.keras.utils.get_file('HIGGS.csv.gz', 'http://mlphysics.ics.uci.edu/data/higgs/HIGGS.csv.gz')
Downloading data from http://mlphysics.ics.uci.edu/data/higgs/HIGGS.csv.gz 2816409600/2816407858 [==============================] - 123s 0us/step 2816417792/2816407858 [==============================] - 123s 0us/step
FEATURES = 28
tf.data.experimental.CsvDataset वर्ग का उपयोग बिना किसी मध्यवर्ती डीकंप्रेसन चरण के सीधे gzip फ़ाइल से csv रिकॉर्ड पढ़ने के लिए किया जा सकता है।
ds = tf.data.experimental.CsvDataset(gz,[float(),]*(FEATURES+1), compression_type="GZIP")
वह सीएसवी पाठक वर्ग प्रत्येक रिकॉर्ड के लिए स्केलर की एक सूची देता है। निम्न फ़ंक्शन स्केलर्स की उस सूची को एक (फीचर_वेक्टर, लेबल) जोड़ी में दोबारा पैक करता है।
def pack_row(*row):
label = row[0]
features = tf.stack(row[1:],1)
return features, label
डेटा के बड़े बैचों पर काम करते समय TensorFlow सबसे कुशल है।
इसलिए प्रत्येक पंक्ति को अलग-अलग रीपैक करने के बजाय एक नया Dataset बनाएं जो 10000-उदाहरणों के बैच लेता है, प्रत्येक बैच में pack_row फ़ंक्शन लागू करता है, और फिर बैचों को अलग-अलग रिकॉर्ड में विभाजित करता है:
packed_ds = ds.batch(10000).map(pack_row).unbatch()
इस नए packed_ds के कुछ रिकॉर्ड पर एक नज़र डालें।
सुविधाएँ पूरी तरह से सामान्यीकृत नहीं हैं, लेकिन यह इस ट्यूटोरियल के लिए पर्याप्त है।
for features,label in packed_ds.batch(1000).take(1):
print(features[0])
plt.hist(features.numpy().flatten(), bins = 101)
tf.Tensor( [ 0.8692932 -0.6350818 0.22569026 0.32747006 -0.6899932 0.75420225 -0.24857314 -1.0920639 0. 1.3749921 -0.6536742 0.9303491 1.1074361 1.1389043 -1.5781983 -1.0469854 0. 0.65792954 -0.01045457 -0.04576717 3.1019614 1.35376 0.9795631 0.97807616 0.92000484 0.72165745 0.98875093 0.87667835], shape=(28,), dtype=float32)

इस ट्यूटोरियल को अपेक्षाकृत कम रखने के लिए सत्यापन के लिए पहले 1000 नमूनों का उपयोग करें, और प्रशिक्षण के लिए अगले 10,000 का उपयोग करें:
N_VALIDATION = int(1e3)
N_TRAIN = int(1e4)
BUFFER_SIZE = int(1e4)
BATCH_SIZE = 500
STEPS_PER_EPOCH = N_TRAIN//BATCH_SIZE
Dataset.skip और Dataset.take तरीके इसे आसान बनाते हैं।
उसी समय, यह सुनिश्चित करने के लिए Dataset.cache विधि का उपयोग करें कि लोडर को प्रत्येक युग में फ़ाइल से डेटा को फिर से पढ़ने की आवश्यकता नहीं है:
validate_ds = packed_ds.take(N_VALIDATION).cache()
train_ds = packed_ds.skip(N_VALIDATION).take(N_TRAIN).cache()
train_ds
<CacheDataset element_spec=(TensorSpec(shape=(28,), dtype=tf.float32, name=None), TensorSpec(shape=(), dtype=tf.float32, name=None))>
ये डेटासेट अलग-अलग उदाहरण लौटाते हैं। प्रशिक्षण के लिए उपयुक्त आकार के बैच बनाने के लिए .batch विधि का उपयोग करें। बैचिंग से पहले प्रशिक्षण सेट को .shuffle और .repeat भी याद रखें।
validate_ds = validate_ds.batch(BATCH_SIZE)
train_ds = train_ds.shuffle(BUFFER_SIZE).repeat().batch(BATCH_SIZE)
ओवरफिटिंग का प्रदर्शन करें
ओवरफिटिंग को रोकने का सबसे सरल तरीका एक छोटे मॉडल से शुरू करना है: एक मॉडल जिसमें सीखने योग्य मापदंडों की एक छोटी संख्या होती है (जो परतों की संख्या और प्रति परत इकाइयों की संख्या से निर्धारित होती है)। गहन शिक्षण में, एक मॉडल में सीखने योग्य मापदंडों की संख्या को अक्सर मॉडल की "क्षमता" के रूप में संदर्भित किया जाता है।
सहज रूप से, अधिक मापदंडों वाले एक मॉडल में अधिक "याद रखने की क्षमता" होगी और इसलिए प्रशिक्षण नमूनों और उनके लक्ष्यों के बीच एक आदर्श शब्दकोश जैसी मैपिंग को आसानी से सीखने में सक्षम होगा, बिना किसी सामान्यीकरण शक्ति के एक मानचित्रण, लेकिन भविष्यवाणियां करते समय यह बेकार होगा। पहले के अनदेखे डेटा पर।
इसे हमेशा ध्यान में रखें: गहन शिक्षण मॉडल प्रशिक्षण डेटा को फिट करने में अच्छे होते हैं, लेकिन वास्तविक चुनौती सामान्यीकरण है, फिटिंग नहीं।
दूसरी ओर, यदि नेटवर्क के पास सीमित स्मृति संसाधन हैं, तो वह मानचित्रण को उतनी आसानी से नहीं सीख पाएगा। इसके नुकसान को कम करने के लिए, इसे संकुचित अभ्यावेदन सीखना होगा जिसमें अधिक भविष्य कहनेवाला शक्ति हो। उसी समय, यदि आप अपने मॉडल को बहुत छोटा बनाते हैं, तो प्रशिक्षण डेटा को फिट करने में कठिनाई होगी। "बहुत अधिक क्षमता" और "पर्याप्त क्षमता नहीं" के बीच एक संतुलन है।
दुर्भाग्य से, आपके मॉडल के सही आकार या वास्तुकला को निर्धारित करने के लिए कोई जादुई सूत्र नहीं है (परतों की संख्या, या प्रत्येक परत के लिए सही आकार के संदर्भ में)। आपको विभिन्न आर्किटेक्चर की एक श्रृंखला का प्रयोग करके प्रयोग करना होगा।
एक उपयुक्त मॉडल आकार खोजने के लिए, अपेक्षाकृत कुछ परतों और मापदंडों के साथ शुरू करना सबसे अच्छा है, फिर परतों के आकार को बढ़ाना या नई परतों को जोड़ना शुरू करें जब तक कि आप सत्यापन हानि पर कम रिटर्न नहीं देखते।
केवल layers.Dense का उपयोग करके एक साधारण मॉडल से प्रारंभ करें। आधार रेखा के रूप में घने, फिर बड़े संस्करण बनाएं, और उनकी तुलना करें।
प्रशिक्षण प्रक्रिया
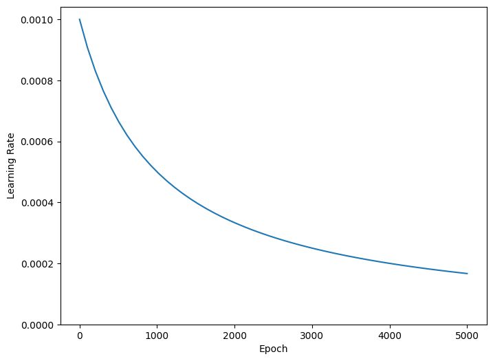
यदि आप प्रशिक्षण के दौरान सीखने की दर को धीरे-धीरे कम करते हैं तो कई मॉडल बेहतर तरीके से प्रशिक्षित होते हैं। समय के साथ सीखने की दर को कम करने के लिए optimizers.schedules का उपयोग करें:
lr_schedule = tf.keras.optimizers.schedules.InverseTimeDecay(
0.001,
decay_steps=STEPS_PER_EPOCH*1000,
decay_rate=1,
staircase=False)
def get_optimizer():
return tf.keras.optimizers.Adam(lr_schedule)
उपरोक्त कोड एक schedules.InverseTimeDecay सेट करता है। InverseTimeDecay हाइपरबॉलिक रूप से सीखने की दर को 1000 युगों में आधार दर के 1/2, 2000 युगों में 1/3 और इसी तरह से कम करता है।
step = np.linspace(0,100000)
lr = lr_schedule(step)
plt.figure(figsize = (8,6))
plt.plot(step/STEPS_PER_EPOCH, lr)
plt.ylim([0,max(plt.ylim())])
plt.xlabel('Epoch')
_ = plt.ylabel('Learning Rate')

इस ट्यूटोरियल में प्रत्येक मॉडल समान प्रशिक्षण कॉन्फ़िगरेशन का उपयोग करेगा। तो कॉलबैक की सूची से शुरू करके इन्हें पुन: प्रयोज्य तरीके से सेट करें।
इस ट्यूटोरियल का प्रशिक्षण कई छोटे युगों तक चलता है। लॉगिंग शोर को कम करने के लिए tfdocs.EpochDots का उपयोग करें जो बस एक प्रिंट करता है . प्रत्येक युग के लिए, और प्रत्येक 100 युगों में मेट्रिक्स का एक पूरा सेट।
इसके बाद callbacks.EarlyStopping शामिल हैं। लंबे और अनावश्यक प्रशिक्षण समय से बचने के लिए अर्लीस्टॉपिंग। ध्यान दें कि यह कॉलबैक val_binary_crossentropy की निगरानी के लिए सेट है, न कि val_loss पर। यह अंतर बाद में महत्वपूर्ण होगा।
callbacks.TensorBoard का उपयोग करें। प्रशिक्षण के लिए TensorBoard लॉग उत्पन्न करने के लिए TensorBoard।
def get_callbacks(name):
return [
tfdocs.modeling.EpochDots(),
tf.keras.callbacks.EarlyStopping(monitor='val_binary_crossentropy', patience=200),
tf.keras.callbacks.TensorBoard(logdir/name),
]
इसी तरह प्रत्येक मॉडल समान Model.compile और Model.fit सेटिंग्स का उपयोग करेगा:
def compile_and_fit(model, name, optimizer=None, max_epochs=10000):
if optimizer is None:
optimizer = get_optimizer()
model.compile(optimizer=optimizer,
loss=tf.keras.losses.BinaryCrossentropy(from_logits=True),
metrics=[
tf.keras.losses.BinaryCrossentropy(
from_logits=True, name='binary_crossentropy'),
'accuracy'])
model.summary()
history = model.fit(
train_ds,
steps_per_epoch = STEPS_PER_EPOCH,
epochs=max_epochs,
validation_data=validate_ds,
callbacks=get_callbacks(name),
verbose=0)
return history
छोटा मॉडल
एक मॉडल को प्रशिक्षित करके शुरू करें:
tiny_model = tf.keras.Sequential([
layers.Dense(16, activation='elu', input_shape=(FEATURES,)),
layers.Dense(1)
])
size_histories = {}
size_histories['Tiny'] = compile_and_fit(tiny_model, 'sizes/Tiny')
Model: "sequential"
_________________________________________________________________
Layer (type) Output Shape Param #
=================================================================
dense (Dense) (None, 16) 464
dense_1 (Dense) (None, 1) 17
=================================================================
Total params: 481
Trainable params: 481
Non-trainable params: 0
_________________________________________________________________
Epoch: 0, accuracy:0.4961, binary_crossentropy:0.7294, loss:0.7294, val_accuracy:0.4840, val_binary_crossentropy:0.7200, val_loss:0.7200,
....................................................................................................
Epoch: 100, accuracy:0.5931, binary_crossentropy:0.6279, loss:0.6279, val_accuracy:0.5860, val_binary_crossentropy:0.6288, val_loss:0.6288,
....................................................................................................
Epoch: 200, accuracy:0.6157, binary_crossentropy:0.6178, loss:0.6178, val_accuracy:0.6200, val_binary_crossentropy:0.6134, val_loss:0.6134,
....................................................................................................
Epoch: 300, accuracy:0.6370, binary_crossentropy:0.6086, loss:0.6086, val_accuracy:0.6220, val_binary_crossentropy:0.6055, val_loss:0.6055,
....................................................................................................
Epoch: 400, accuracy:0.6522, binary_crossentropy:0.6008, loss:0.6008, val_accuracy:0.6260, val_binary_crossentropy:0.5997, val_loss:0.5997,
....................................................................................................
Epoch: 500, accuracy:0.6513, binary_crossentropy:0.5946, loss:0.5946, val_accuracy:0.6480, val_binary_crossentropy:0.5911, val_loss:0.5911,
....................................................................................................
Epoch: 600, accuracy:0.6636, binary_crossentropy:0.5894, loss:0.5894, val_accuracy:0.6390, val_binary_crossentropy:0.5898, val_loss:0.5898,
....................................................................................................
Epoch: 700, accuracy:0.6696, binary_crossentropy:0.5852, loss:0.5852, val_accuracy:0.6530, val_binary_crossentropy:0.5870, val_loss:0.5870,
....................................................................................................
Epoch: 800, accuracy:0.6706, binary_crossentropy:0.5824, loss:0.5824, val_accuracy:0.6590, val_binary_crossentropy:0.5850, val_loss:0.5850,
....................................................................................................
Epoch: 900, accuracy:0.6709, binary_crossentropy:0.5796, loss:0.5796, val_accuracy:0.6680, val_binary_crossentropy:0.5831, val_loss:0.5831,
....................................................................................................
Epoch: 1000, accuracy:0.6780, binary_crossentropy:0.5769, loss:0.5769, val_accuracy:0.6530, val_binary_crossentropy:0.5851, val_loss:0.5851,
....................................................................................................
Epoch: 1100, accuracy:0.6735, binary_crossentropy:0.5752, loss:0.5752, val_accuracy:0.6620, val_binary_crossentropy:0.5807, val_loss:0.5807,
....................................................................................................
Epoch: 1200, accuracy:0.6759, binary_crossentropy:0.5729, loss:0.5729, val_accuracy:0.6620, val_binary_crossentropy:0.5792, val_loss:0.5792,
....................................................................................................
Epoch: 1300, accuracy:0.6849, binary_crossentropy:0.5716, loss:0.5716, val_accuracy:0.6450, val_binary_crossentropy:0.5859, val_loss:0.5859,
....................................................................................................
Epoch: 1400, accuracy:0.6790, binary_crossentropy:0.5695, loss:0.5695, val_accuracy:0.6700, val_binary_crossentropy:0.5776, val_loss:0.5776,
....................................................................................................
Epoch: 1500, accuracy:0.6824, binary_crossentropy:0.5681, loss:0.5681, val_accuracy:0.6730, val_binary_crossentropy:0.5761, val_loss:0.5761,
....................................................................................................
Epoch: 1600, accuracy:0.6828, binary_crossentropy:0.5669, loss:0.5669, val_accuracy:0.6690, val_binary_crossentropy:0.5766, val_loss:0.5766,
....................................................................................................
Epoch: 1700, accuracy:0.6874, binary_crossentropy:0.5657, loss:0.5657, val_accuracy:0.6600, val_binary_crossentropy:0.5774, val_loss:0.5774,
....................................................................................................
Epoch: 1800, accuracy:0.6845, binary_crossentropy:0.5655, loss:0.5655, val_accuracy:0.6780, val_binary_crossentropy:0.5752, val_loss:0.5752,
....................................................................................................
Epoch: 1900, accuracy:0.6837, binary_crossentropy:0.5644, loss:0.5644, val_accuracy:0.6790, val_binary_crossentropy:0.5753, val_loss:0.5753,
....................................................................................................
Epoch: 2000, accuracy:0.6853, binary_crossentropy:0.5632, loss:0.5632, val_accuracy:0.6780, val_binary_crossentropy:0.5753, val_loss:0.5753,
....................................................................................................
Epoch: 2100, accuracy:0.6871, binary_crossentropy:0.5625, loss:0.5625, val_accuracy:0.6670, val_binary_crossentropy:0.5769, val_loss:0.5769,
...................................
अब जांचें कि मॉडल ने कैसे किया:
plotter = tfdocs.plots.HistoryPlotter(metric = 'binary_crossentropy', smoothing_std=10)
plotter.plot(size_histories)
plt.ylim([0.5, 0.7])
(0.5, 0.7)

छोटा मॉडल
यह देखने के लिए कि क्या आप छोटे मॉडल के प्रदर्शन को मात दे सकते हैं, कुछ बड़े मॉडलों को उत्तरोत्तर प्रशिक्षित करें।
प्रत्येक 16 इकाइयों के साथ दो छिपी हुई परतों का प्रयास करें:
small_model = tf.keras.Sequential([
# `input_shape` is only required here so that `.summary` works.
layers.Dense(16, activation='elu', input_shape=(FEATURES,)),
layers.Dense(16, activation='elu'),
layers.Dense(1)
])
size_histories['Small'] = compile_and_fit(small_model, 'sizes/Small')
Model: "sequential_1"
_________________________________________________________________
Layer (type) Output Shape Param #
=================================================================
dense_2 (Dense) (None, 16) 464
dense_3 (Dense) (None, 16) 272
dense_4 (Dense) (None, 1) 17
=================================================================
Total params: 753
Trainable params: 753
Non-trainable params: 0
_________________________________________________________________
Epoch: 0, accuracy:0.4864, binary_crossentropy:0.7769, loss:0.7769, val_accuracy:0.4930, val_binary_crossentropy:0.7211, val_loss:0.7211,
....................................................................................................
Epoch: 100, accuracy:0.6386, binary_crossentropy:0.6052, loss:0.6052, val_accuracy:0.6020, val_binary_crossentropy:0.6177, val_loss:0.6177,
....................................................................................................
Epoch: 200, accuracy:0.6697, binary_crossentropy:0.5829, loss:0.5829, val_accuracy:0.6310, val_binary_crossentropy:0.6018, val_loss:0.6018,
....................................................................................................
Epoch: 300, accuracy:0.6838, binary_crossentropy:0.5721, loss:0.5721, val_accuracy:0.6490, val_binary_crossentropy:0.5940, val_loss:0.5940,
....................................................................................................
Epoch: 400, accuracy:0.6911, binary_crossentropy:0.5656, loss:0.5656, val_accuracy:0.6430, val_binary_crossentropy:0.5985, val_loss:0.5985,
....................................................................................................
Epoch: 500, accuracy:0.6930, binary_crossentropy:0.5607, loss:0.5607, val_accuracy:0.6430, val_binary_crossentropy:0.6028, val_loss:0.6028,
.........................
मध्यम मॉडल
अब 64 इकाइयों के साथ 3 छिपी हुई परतों का प्रयास करें:
medium_model = tf.keras.Sequential([
layers.Dense(64, activation='elu', input_shape=(FEATURES,)),
layers.Dense(64, activation='elu'),
layers.Dense(64, activation='elu'),
layers.Dense(1)
])
और उसी डेटा का उपयोग करके मॉडल को प्रशिक्षित करें:
size_histories['Medium'] = compile_and_fit(medium_model, "sizes/Medium")
Model: "sequential_2"
_________________________________________________________________
Layer (type) Output Shape Param #
=================================================================
dense_5 (Dense) (None, 64) 1856
dense_6 (Dense) (None, 64) 4160
dense_7 (Dense) (None, 64) 4160
dense_8 (Dense) (None, 1) 65
=================================================================
Total params: 10,241
Trainable params: 10,241
Non-trainable params: 0
_________________________________________________________________
Epoch: 0, accuracy:0.5017, binary_crossentropy:0.6840, loss:0.6840, val_accuracy:0.4790, val_binary_crossentropy:0.6723, val_loss:0.6723,
....................................................................................................
Epoch: 100, accuracy:0.7173, binary_crossentropy:0.5221, loss:0.5221, val_accuracy:0.6470, val_binary_crossentropy:0.6111, val_loss:0.6111,
....................................................................................................
Epoch: 200, accuracy:0.7884, binary_crossentropy:0.4270, loss:0.4270, val_accuracy:0.6390, val_binary_crossentropy:0.7045, val_loss:0.7045,
..............................................................
बड़ा मॉडल
एक अभ्यास के रूप में, आप एक और भी बड़ा मॉडल बना सकते हैं, और देख सकते हैं कि यह कितनी जल्दी ओवरफिट होने लगता है। इसके बाद, आइए इस बेंचमार्क में एक ऐसा नेटवर्क जोड़ें जिसमें बहुत अधिक क्षमता हो, समस्या से कहीं अधिक वारंट होगा:
large_model = tf.keras.Sequential([
layers.Dense(512, activation='elu', input_shape=(FEATURES,)),
layers.Dense(512, activation='elu'),
layers.Dense(512, activation='elu'),
layers.Dense(512, activation='elu'),
layers.Dense(1)
])
और, फिर से, उसी डेटा का उपयोग करके मॉडल को प्रशिक्षित करें:
size_histories['large'] = compile_and_fit(large_model, "sizes/large")
Model: "sequential_3"
_________________________________________________________________
Layer (type) Output Shape Param #
=================================================================
dense_9 (Dense) (None, 512) 14848
dense_10 (Dense) (None, 512) 262656
dense_11 (Dense) (None, 512) 262656
dense_12 (Dense) (None, 512) 262656
dense_13 (Dense) (None, 1) 513
=================================================================
Total params: 803,329
Trainable params: 803,329
Non-trainable params: 0
_________________________________________________________________
Epoch: 0, accuracy:0.5145, binary_crossentropy:0.7740, loss:0.7740, val_accuracy:0.4980, val_binary_crossentropy:0.6793, val_loss:0.6793,
....................................................................................................
Epoch: 100, accuracy:1.0000, binary_crossentropy:0.0020, loss:0.0020, val_accuracy:0.6600, val_binary_crossentropy:1.8540, val_loss:1.8540,
....................................................................................................
Epoch: 200, accuracy:1.0000, binary_crossentropy:0.0001, loss:0.0001, val_accuracy:0.6560, val_binary_crossentropy:2.5293, val_loss:2.5293,
..........................
प्रशिक्षण और सत्यापन हानियों को प्लॉट करें
ठोस रेखाएं प्रशिक्षण हानि दिखाती हैं, और धराशायी रेखाएं सत्यापन हानि दिखाती हैं (याद रखें: कम सत्यापन हानि एक बेहतर मॉडल को इंगित करती है)।
एक बड़े मॉडल का निर्माण करते समय यह अधिक शक्ति देता है, अगर इस शक्ति को किसी भी तरह से बाधित नहीं किया जाता है तो यह आसानी से प्रशिक्षण सेट से अधिक हो सकता है।
इस उदाहरण में, आमतौर पर, केवल "Tiny" मॉडल पूरी तरह से ओवरफिटिंग से बचने का प्रबंधन करता है, और प्रत्येक बड़ा मॉडल डेटा को अधिक तेज़ी से ओवरफिट करता है। यह "large" मॉडल के लिए इतना गंभीर हो जाता है कि वास्तव में क्या हो रहा है यह देखने के लिए आपको प्लॉट को लॉग-स्केल पर स्विच करने की आवश्यकता है।
यह तब स्पष्ट होता है जब आप सत्यापन मेट्रिक्स को प्रशिक्षण मेट्रिक्स से प्लॉट और तुलना करते हैं।
- एक छोटा सा अंतर होना सामान्य है।
- यदि दोनों मेट्रिक्स एक ही दिशा में आगे बढ़ रहे हैं, तो सब कुछ ठीक है।
- यदि प्रशिक्षण मीट्रिक में सुधार जारी रहने के दौरान सत्यापन मीट्रिक स्थिर होना शुरू हो जाता है, तो आप शायद ओवरफिटिंग के करीब हैं।
- यदि सत्यापन मीट्रिक गलत दिशा में जा रहा है, तो मॉडल स्पष्ट रूप से ओवरफिटिंग है।
plotter.plot(size_histories)
a = plt.xscale('log')
plt.xlim([5, max(plt.xlim())])
plt.ylim([0.5, 0.7])
plt.xlabel("Epochs [Log Scale]")
Text(0.5, 0, 'Epochs [Log Scale]')

टेंसरबोर्ड में देखें
इन सभी मॉडलों ने प्रशिक्षण के दौरान TensorBoard लॉग लिखे।
एक नोटबुक के अंदर एक एम्बेडेड TensorBoard व्यूअर खोलें:
#docs_infra: no_execute
# Load the TensorBoard notebook extension
%load_ext tensorboard
# Open an embedded TensorBoard viewer
%tensorboard --logdir {logdir}/sizes
आप इस नोटबुक के पिछले रन के परिणाम TensorBoard.dev पर देख सकते हैं।
TensorBoard.dev सभी के साथ ML प्रयोगों को होस्ट करने, ट्रैक करने और साझा करने का एक प्रबंधित अनुभव है।
यह सुविधा के लिए <iframe> में भी शामिल है:
display.IFrame(
src="https://tensorboard.dev/experiment/vW7jmmF9TmKmy3rbheMQpw/#scalars&_smoothingWeight=0.97",
width="100%", height="800px")
यदि आप TensorBoard परिणाम साझा करना चाहते हैं, तो आप निम्न को एक कोड-सेल में कॉपी करके TensorBoard.dev पर लॉग अपलोड कर सकते हैं।
tensorboard dev upload --logdir {logdir}/sizes
ओवरफिटिंग को रोकने के लिए रणनीतियाँ
इस खंड की सामग्री में आने से पहले, तुलना के लिए आधार रेखा के रूप में उपयोग करने के लिए उपरोक्त "Tiny" मॉडल से प्रशिक्षण लॉग की प्रतिलिपि बनाएँ।
shutil.rmtree(logdir/'regularizers/Tiny', ignore_errors=True)
shutil.copytree(logdir/'sizes/Tiny', logdir/'regularizers/Tiny')
PosixPath('/tmp/tmpn1rdh98q/tensorboard_logs/regularizers/Tiny')
regularizer_histories = {}
regularizer_histories['Tiny'] = size_histories['Tiny']
वजन नियमितीकरण जोड़ें
आप ओकम के रेजर सिद्धांत से परिचित हो सकते हैं: किसी चीज़ के लिए दो स्पष्टीकरण दिए गए हैं, स्पष्टीकरण के सही होने की सबसे अधिक संभावना "सरल" है, जो कम से कम धारणाएं बनाती है। यह तंत्रिका नेटवर्क द्वारा सीखे गए मॉडल पर भी लागू होता है: कुछ प्रशिक्षण डेटा और एक नेटवर्क आर्किटेक्चर को देखते हुए, वज़न मान (एकाधिक मॉडल) के कई सेट होते हैं जो डेटा की व्याख्या कर सकते हैं, और सरल मॉडल जटिल लोगों की तुलना में अधिक होने की संभावना कम होती है।
इस संदर्भ में एक "सरल मॉडल" एक ऐसा मॉडल है जहां पैरामीटर मानों के वितरण में कम एन्ट्रॉपी होती है (या कम पैरामीटर वाला एक मॉडल, जैसा कि हमने ऊपर अनुभाग में देखा था)। इस प्रकार ओवरफिटिंग को कम करने का एक सामान्य तरीका है कि नेटवर्क के वजन को केवल छोटे मान लेने के लिए मजबूर करके नेटवर्क की जटिलता पर प्रतिबंध लगाया जाए, जिससे वजन मूल्यों का वितरण अधिक "नियमित" हो जाता है। इसे "वेट रेगुलराइजेशन" कहा जाता है, और यह नेटवर्क के लॉस फंक्शन में बड़े वजन से जुड़ी लागत को जोड़कर किया जाता है। यह लागत दो स्वादों में आती है:
L1 नियमितीकरण , जहां जोड़ा गया मूल्य भार गुणांक के निरपेक्ष मूल्य के समानुपाती होता है (अर्थात जिसे भार का "L1 मानदंड" कहा जाता है)।
L2 नियमितीकरण , जहां जोड़ा गया मूल्य भार गुणांक के मूल्य के वर्ग के समानुपाती होता है (अर्थात जिसे भार का वर्ग "L2 मानदंड" कहा जाता है)। L2 नियमितीकरण को तंत्रिका नेटवर्क के संदर्भ में वजन में कमी भी कहा जाता है। अलग-अलग नाम को भ्रमित न होने दें: वजन में गिरावट गणितीय रूप से L2 नियमितीकरण के समान ही है।
L1 नियमितीकरण एक विरल मॉडल को प्रोत्साहित करने के लिए वजन को बिल्कुल शून्य की ओर धकेलता है। L2 नियमितीकरण वजन मापदंडों को विरल बनाए बिना दंडित करेगा क्योंकि छोटे वजन के लिए जुर्माना शून्य हो जाता है-एक कारण है कि L2 अधिक सामान्य है।
tf.keras में, वज़न नियमितीकरण को कीवर्ड तर्कों के रूप में परतों में वज़न नियमित करने वाले उदाहरणों को पास करके जोड़ा जाता है। आइए अब L2 वजन नियमितीकरण जोड़ें।
l2_model = tf.keras.Sequential([
layers.Dense(512, activation='elu',
kernel_regularizer=regularizers.l2(0.001),
input_shape=(FEATURES,)),
layers.Dense(512, activation='elu',
kernel_regularizer=regularizers.l2(0.001)),
layers.Dense(512, activation='elu',
kernel_regularizer=regularizers.l2(0.001)),
layers.Dense(512, activation='elu',
kernel_regularizer=regularizers.l2(0.001)),
layers.Dense(1)
])
regularizer_histories['l2'] = compile_and_fit(l2_model, "regularizers/l2")
Model: "sequential_4"
_________________________________________________________________
Layer (type) Output Shape Param #
=================================================================
dense_14 (Dense) (None, 512) 14848
dense_15 (Dense) (None, 512) 262656
dense_16 (Dense) (None, 512) 262656
dense_17 (Dense) (None, 512) 262656
dense_18 (Dense) (None, 1) 513
=================================================================
Total params: 803,329
Trainable params: 803,329
Non-trainable params: 0
_________________________________________________________________
Epoch: 0, accuracy:0.5126, binary_crossentropy:0.7481, loss:2.2415, val_accuracy:0.4950, val_binary_crossentropy:0.6707, val_loss:2.0653,
....................................................................................................
Epoch: 100, accuracy:0.6625, binary_crossentropy:0.5945, loss:0.6173, val_accuracy:0.6400, val_binary_crossentropy:0.5871, val_loss:0.6100,
....................................................................................................
Epoch: 200, accuracy:0.6690, binary_crossentropy:0.5864, loss:0.6079, val_accuracy:0.6650, val_binary_crossentropy:0.5856, val_loss:0.6076,
....................................................................................................
Epoch: 300, accuracy:0.6790, binary_crossentropy:0.5762, loss:0.5976, val_accuracy:0.6550, val_binary_crossentropy:0.5881, val_loss:0.6095,
....................................................................................................
Epoch: 400, accuracy:0.6843, binary_crossentropy:0.5697, loss:0.5920, val_accuracy:0.6650, val_binary_crossentropy:0.5878, val_loss:0.6101,
....................................................................................................
Epoch: 500, accuracy:0.6897, binary_crossentropy:0.5651, loss:0.5907, val_accuracy:0.6890, val_binary_crossentropy:0.5798, val_loss:0.6055,
....................................................................................................
Epoch: 600, accuracy:0.6945, binary_crossentropy:0.5610, loss:0.5864, val_accuracy:0.6820, val_binary_crossentropy:0.5772, val_loss:0.6026,
..........................................................
l2(0.001) का अर्थ है कि परत के भार मैट्रिक्स में प्रत्येक गुणांक नेटवर्क के कुल नुकसान में 0.001 * weight_coefficient_value**2 जोड़ देगा।
इसलिए हम सीधे binary_crossentropy की निगरानी कर रहे हैं। क्योंकि इसमें यह नियमितीकरण घटक मिश्रित नहीं है।
तो, L2 नियमितीकरण दंड के साथ वही "Large" मॉडल बहुत बेहतर प्रदर्शन करता है:
plotter.plot(regularizer_histories)
plt.ylim([0.5, 0.7])
(0.5, 0.7)

जैसा कि आप देख सकते हैं, "L2" नियमित मॉडल अब "Tiny" मॉडल के साथ बहुत अधिक प्रतिस्पर्धी है। यह "L2" मॉडल "Large" मॉडल की तुलना में ओवरफिटिंग के लिए बहुत अधिक प्रतिरोधी है, जिस पर समान संख्या में पैरामीटर होने के बावजूद यह आधारित था।
और जानकारी
इस तरह के नियमितीकरण के बारे में दो महत्वपूर्ण बातें ध्यान देने योग्य हैं।
पहला: यदि आप अपना खुद का प्रशिक्षण लूप लिख रहे हैं, तो आपको मॉडल से इसके नियमितीकरण के नुकसान के बारे में पूछना सुनिश्चित करना होगा।
result = l2_model(features)
regularization_loss=tf.add_n(l2_model.losses)
दूसरा: यह कार्यान्वयन मॉडल के नुकसान में वज़न दंड जोड़कर काम करता है, और उसके बाद मानक अनुकूलन प्रक्रिया लागू करता है।
एक दूसरा दृष्टिकोण है कि इसके बजाय केवल कच्चे नुकसान पर ऑप्टिमाइज़र चलाता है, और फिर गणना किए गए चरण को लागू करते समय ऑप्टिमाइज़र कुछ वजन क्षय भी लागू करता है। यह "डिकूपल्ड वेट डेके" ऑप्टिमाइज़र जैसे optimizers.FTRL .FTRL और optimizers.AdamW में देखा जाता है।
ड्रॉपआउट जोड़ें
ड्रॉपआउट तंत्रिका नेटवर्क के लिए सबसे प्रभावी और सबसे अधिक इस्तेमाल की जाने वाली नियमितीकरण तकनीकों में से एक है, जिसे टोरंटो विश्वविद्यालय में हिंटन और उनके छात्रों द्वारा विकसित किया गया है।
ड्रॉपआउट के लिए सहज व्याख्या यह है कि क्योंकि नेटवर्क में अलग-अलग नोड्स दूसरों के आउटपुट पर भरोसा नहीं कर सकते हैं, इसलिए प्रत्येक नोड को उन विशेषताओं को आउटपुट करना चाहिए जो अपने आप में उपयोगी हैं।
ड्रॉपआउट, एक परत पर लागू होता है, जिसमें प्रशिक्षण के दौरान बेतरतीब ढंग से "ड्रॉप आउट" (यानी शून्य पर सेट) परत की कई आउटपुट विशेषताएं होती हैं। मान लें कि किसी दिए गए परत ने प्रशिक्षण के दौरान दिए गए इनपुट नमूने के लिए सामान्य रूप से एक वेक्टर [0.2, 0.5, 1.3, 0.8, 1.1] लौटाया होगा; ड्रॉपआउट लागू करने के बाद, इस वेक्टर में यादृच्छिक रूप से वितरित कुछ शून्य प्रविष्टियां होंगी, उदाहरण के लिए [0, 0.5, 1.3, 0, 1.1]।
"छोड़ने की दर" उन सुविधाओं का अंश है जिन्हें शून्य किया जा रहा है; यह आमतौर पर 0.2 और 0.5 के बीच सेट होता है। परीक्षण के समय, किसी भी इकाई को बाहर नहीं किया जाता है, और इसके बजाय परत के आउटपुट मूल्यों को ड्रॉपआउट दर के बराबर एक कारक द्वारा घटाया जाता है, ताकि इस तथ्य के लिए संतुलन बनाया जा सके कि प्रशिक्षण समय की तुलना में अधिक इकाइयाँ सक्रिय हैं।
tf.keras में आप ड्रॉपआउट परत के माध्यम से एक नेटवर्क में ड्रॉपआउट का परिचय दे सकते हैं, जो परत के आउटपुट पर ठीक पहले लागू हो जाता है।
आइए अपने नेटवर्क में दो ड्रॉपआउट परतें जोड़ें, यह देखने के लिए कि वे ओवरफिटिंग को कम करने में कितना अच्छा करते हैं:
dropout_model = tf.keras.Sequential([
layers.Dense(512, activation='elu', input_shape=(FEATURES,)),
layers.Dropout(0.5),
layers.Dense(512, activation='elu'),
layers.Dropout(0.5),
layers.Dense(512, activation='elu'),
layers.Dropout(0.5),
layers.Dense(512, activation='elu'),
layers.Dropout(0.5),
layers.Dense(1)
])
regularizer_histories['dropout'] = compile_and_fit(dropout_model, "regularizers/dropout")
Model: "sequential_5"
_________________________________________________________________
Layer (type) Output Shape Param #
=================================================================
dense_19 (Dense) (None, 512) 14848
dropout (Dropout) (None, 512) 0
dense_20 (Dense) (None, 512) 262656
dropout_1 (Dropout) (None, 512) 0
dense_21 (Dense) (None, 512) 262656
dropout_2 (Dropout) (None, 512) 0
dense_22 (Dense) (None, 512) 262656
dropout_3 (Dropout) (None, 512) 0
dense_23 (Dense) (None, 1) 513
=================================================================
Total params: 803,329
Trainable params: 803,329
Non-trainable params: 0
_________________________________________________________________
Epoch: 0, accuracy:0.4961, binary_crossentropy:0.8110, loss:0.8110, val_accuracy:0.5330, val_binary_crossentropy:0.6900, val_loss:0.6900,
....................................................................................................
Epoch: 100, accuracy:0.6557, binary_crossentropy:0.5961, loss:0.5961, val_accuracy:0.6710, val_binary_crossentropy:0.5788, val_loss:0.5788,
....................................................................................................
Epoch: 200, accuracy:0.6871, binary_crossentropy:0.5622, loss:0.5622, val_accuracy:0.6860, val_binary_crossentropy:0.5856, val_loss:0.5856,
....................................................................................................
Epoch: 300, accuracy:0.7246, binary_crossentropy:0.5121, loss:0.5121, val_accuracy:0.6820, val_binary_crossentropy:0.5927, val_loss:0.5927,
............
plotter.plot(regularizer_histories)
plt.ylim([0.5, 0.7])
(0.5, 0.7)

यह इस साजिश से स्पष्ट है कि इन दोनों नियमितीकरण दृष्टिकोण "Large" मॉडल के व्यवहार में सुधार करते हैं। लेकिन यह अभी भी "Tiny" बेसलाइन को भी नहीं हराता है।
अगला उन दोनों को एक साथ आज़माएँ, और देखें कि क्या इससे बेहतर होता है।
संयुक्त L2 + ड्रॉपआउट
combined_model = tf.keras.Sequential([
layers.Dense(512, kernel_regularizer=regularizers.l2(0.0001),
activation='elu', input_shape=(FEATURES,)),
layers.Dropout(0.5),
layers.Dense(512, kernel_regularizer=regularizers.l2(0.0001),
activation='elu'),
layers.Dropout(0.5),
layers.Dense(512, kernel_regularizer=regularizers.l2(0.0001),
activation='elu'),
layers.Dropout(0.5),
layers.Dense(512, kernel_regularizer=regularizers.l2(0.0001),
activation='elu'),
layers.Dropout(0.5),
layers.Dense(1)
])
regularizer_histories['combined'] = compile_and_fit(combined_model, "regularizers/combined")
Model: "sequential_6"
_________________________________________________________________
Layer (type) Output Shape Param #
=================================================================
dense_24 (Dense) (None, 512) 14848
dropout_4 (Dropout) (None, 512) 0
dense_25 (Dense) (None, 512) 262656
dropout_5 (Dropout) (None, 512) 0
dense_26 (Dense) (None, 512) 262656
dropout_6 (Dropout) (None, 512) 0
dense_27 (Dense) (None, 512) 262656
dropout_7 (Dropout) (None, 512) 0
dense_28 (Dense) (None, 1) 513
=================================================================
Total params: 803,329
Trainable params: 803,329
Non-trainable params: 0
_________________________________________________________________
Epoch: 0, accuracy:0.5090, binary_crossentropy:0.8064, loss:0.9648, val_accuracy:0.4660, val_binary_crossentropy:0.6877, val_loss:0.8454,
....................................................................................................
Epoch: 100, accuracy:0.6445, binary_crossentropy:0.6050, loss:0.6350, val_accuracy:0.6630, val_binary_crossentropy:0.5871, val_loss:0.6169,
....................................................................................................
Epoch: 200, accuracy:0.6660, binary_crossentropy:0.5932, loss:0.6186, val_accuracy:0.6880, val_binary_crossentropy:0.5722, val_loss:0.5975,
....................................................................................................
Epoch: 300, accuracy:0.6697, binary_crossentropy:0.5818, loss:0.6100, val_accuracy:0.6900, val_binary_crossentropy:0.5614, val_loss:0.5895,
....................................................................................................
Epoch: 400, accuracy:0.6749, binary_crossentropy:0.5742, loss:0.6046, val_accuracy:0.6870, val_binary_crossentropy:0.5576, val_loss:0.5881,
....................................................................................................
Epoch: 500, accuracy:0.6854, binary_crossentropy:0.5703, loss:0.6029, val_accuracy:0.6970, val_binary_crossentropy:0.5458, val_loss:0.5784,
....................................................................................................
Epoch: 600, accuracy:0.6806, binary_crossentropy:0.5673, loss:0.6015, val_accuracy:0.6980, val_binary_crossentropy:0.5453, val_loss:0.5795,
....................................................................................................
Epoch: 700, accuracy:0.6937, binary_crossentropy:0.5583, loss:0.5938, val_accuracy:0.6870, val_binary_crossentropy:0.5477, val_loss:0.5832,
....................................................................................................
Epoch: 800, accuracy:0.6911, binary_crossentropy:0.5576, loss:0.5947, val_accuracy:0.7000, val_binary_crossentropy:0.5446, val_loss:0.5817,
.......................
plotter.plot(regularizer_histories)
plt.ylim([0.5, 0.7])
(0.5, 0.7)

"Combined" नियमितीकरण वाला यह मॉडल स्पष्ट रूप से अब तक का सबसे अच्छा मॉडल है।
टेंसरबोर्ड में देखें
इन मॉडलों ने TensorBoard लॉग भी रिकॉर्ड किए।
एक नोटबुक के अंदर एक एम्बेडेड टेंसरबोर्ड व्यूअर खोलने के लिए, निम्नलिखित को एक कोड-सेल में कॉपी करें:
%tensorboard --logdir {logdir}/regularizers
आप इस नोटबुक के पिछले रन के परिणाम TensorDoard.dev पर देख सकते हैं।
यह सुविधा के लिए <iframe> में भी शामिल है:
display.IFrame(
src="https://tensorboard.dev/experiment/fGInKDo8TXes1z7HQku9mw/#scalars&_smoothingWeight=0.97",
width = "100%",
height="800px")
इसके साथ अपलोड किया गया था:
tensorboard dev upload --logdir {logdir}/regularizers
निष्कर्ष
संक्षेप में: तंत्रिका नेटवर्क में ओवरफिटिंग को रोकने के सबसे सामान्य तरीके यहां दिए गए हैं:
- अधिक प्रशिक्षण डेटा प्राप्त करें।
- नेटवर्क की क्षमता को कम करें।
- वजन नियमितीकरण जोड़ें।
- ड्रॉपआउट जोड़ें।
इस गाइड में शामिल नहीं किए गए दो महत्वपूर्ण दृष्टिकोण हैं:
- डेटा-वृद्धि
- बैच सामान्यीकरण
याद रखें कि प्रत्येक विधि अपने आप में मदद कर सकती है, लेकिन अक्सर उनका संयोजन और भी अधिक प्रभावी हो सकता है।
# MIT License
#
# Copyright (c) 2017 François Chollet
#
# Permission is hereby granted, free of charge, to any person obtaining a
# copy of this software and associated documentation files (the "Software"),
# to deal in the Software without restriction, including without limitation
# the rights to use, copy, modify, merge, publish, distribute, sublicense,
# and/or sell copies of the Software, and to permit persons to whom the
# Software is furnished to do so, subject to the following conditions:
#
# The above copyright notice and this permission notice shall be included in
# all copies or substantial portions of the Software.
#
# THE SOFTWARE IS PROVIDED "AS IS", WITHOUT WARRANTY OF ANY KIND, EXPRESS OR
# IMPLIED, INCLUDING BUT NOT LIMITED TO THE WARRANTIES OF MERCHANTABILITY,
# FITNESS FOR A PARTICULAR PURPOSE AND NONINFRINGEMENT. IN NO EVENT SHALL
# THE AUTHORS OR COPYRIGHT HOLDERS BE LIABLE FOR ANY CLAIM, DAMAGES OR OTHER
# LIABILITY, WHETHER IN AN ACTION OF CONTRACT, TORT OR OTHERWISE, ARISING
# FROM, OUT OF OR IN CONNECTION WITH THE SOFTWARE OR THE USE OR OTHER
# DEALINGS IN THE SOFTWARE.
TensorFlow.org पर देखें
Google Colab में चलाएं
GitHub पर स्रोत देखें
नोटबुक डाउनलोड करें